Desde que uno empieza a realizar los estudios de la especialidad es consciente de que el homo sapiens es un animal, básicamente, preparado para esfuerzos prolongados en un medio de fuerte calor ambiental. No obstante, la evolución nos ha dotado de un mecanismo muy útil en situaciones de grave riesgo que nos obligaban a realizar esfuerzos de muy alta intensidad durante el tiempo necesario para huir del depredador y alcanzar el árbol más cercano.
Traducido a la práctica deportiva actual, vemos que carreras como los 400 mts en atletismo, se pueden realizar sin perder excesivamente la autoestima comparándonos con otros animales (nuestra velocidad máxima apenas le permite a un ganador de los juegos olímpicos escapar de un hipopótamo). Y esto a costa de entrenamientos intensos y esfuerzos realmente agotadores obligando a nuestro organismo a estados fisiológicos extremos (recuerdo una clase de fisiología, cuando hacía la especialidad, en la que el profesor nos decía que la acidosis sufrida por un corredor de élite de 400 mts era incompatible con la vida de un sujeto no adaptado).
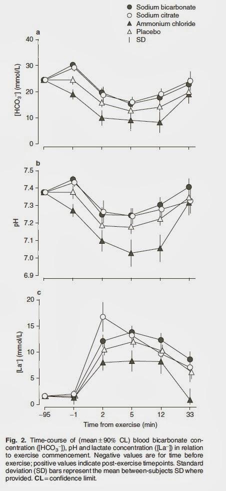
Con la práctica y el tiempo, hemos tenido que buscar las formas óptimas –dentro de la legalidad- para ayudar a estos deportistas a soportar la acidosis de los entrenamientos consiguiendo las máximas adaptaciones. En este sentido recuerdo que la gran esperanza siempre ha sido alcalinizar artificialmente al organismo y para ello, el remedio perfecto siempre se buscaba en el bicarbonato sódico, el gran alcalinizante. Al utilizarlo, siempre aparecían dos factores; por un lado la dificultad para alcanzar dosis efectivas sin producir trastornos gastrointestinales y por otro, darlo en el momento adecuado (siempre previo al entrenamiento o competición).
A finales de los noventa, la élite de la medicina deportiva de España colaboró en una investigación patrocinada por un laboratorio para tratar de evaluar si un citrato sódico que ellos empleaban en pacientes con enfermedad renal, podía ser un sustituto eficaz del bicarbonato, resolviendo el inconveniente de las molestias intestinales. Recuerdo que nosotros realizamos las evaluaciones midiendo el pH sanguíneo (era un momento importante en la fisiología del ejercicio ya que la tecnología nos permitía acceder a estos valores con muestras sanguíneas similares a las necesarias para medir lactatos). Pues bien, los resultados fueron espectaculares, si bien, nunca se tradujeron en una aplicación práctica ya que el laboratorio no consideró conveniente su puesta en mercado (cuestiones de marketing y análisis de costos y ventas…). Yo pedí autorización personal al laboratorio para producir muestras del producto en farmacia y utilizarlo en mis deportistas, pero nada más.
Ha pasado tiempo y las investigaciones han continuado con ahínco, llegando en la actualidad a un punto muy interesante ya que los últimos estudios publicados han introducido una novedad muy interesante, la utilización del citrato sódico para alcalinizar antes del entrenamiento (horas….). Y…¡Oh sorpresa! En donde ha sido más efectivo ha sido en mujeres con una práctica deportiva baja.

Finalmente, el resultado del último metaanálisis realizado (con una búsqueda bibliográfica que incluyó 59 estudios utilizables con 188 observaciones de efectos en el rendimiento), ha concluido con la recomendación de una ingesta de bicarbonato de sodio de 0,3 a 0,5 g/kg para mejorar la potencia media en un 1,7% en las carreras de alta intensidad y corta duración (400 a 800 mts). Además, como nota relevante, se considera que el citrato de sodio ingerido varias horas antes, proporciona efectos metabólicos, no bien conocidos, que podrían añadirse a los efectos obtenidos con el bicarbonato.
Carr AJ, Hopkins WG, Gore CJ. Effects of acute alkalosis and acidosis on performance: a meta-analysis. Sports Med. 2011 Oct 1;41(10):801-14
