Para cualquier pared simple existe una determinda frecuencia, denominada frecuencia natural o de coinidencia, a la que tiende a vibrar libremente cundo es excitado por una onda sonora. Esta frecuencia es función del tipo de material y de su espesor.
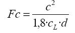
La frecuencia natural se puede estimar con la siguiente expresión:
Donde CL es la velocidad de propagación del sonido en el material, C es la velocidad de propagación del sonido en el aire y d es el espesor del mismo.En la siguiente tabla se indican las velocidades de propagación del sonido en distintos materiales:
MaterialesVelocidad de propagación (m/s)
Ladrillo hueco2000
Ladrillo perforado2500
Hormigón armado3500
Placa de yeso laminado2000
Acero5200
Vidrio5000
Poli metacrilato1600
Plomo1200
A la hora de diseñar es conveniente que esta frecuencia de coincidencia no se encuentra en la zona de bajas y medias frecuencias, ya que estas frecuencias son las más perjudiciales desde el punto de vista del aislamiento acústico.
Según el caso resultará más interesante aumentar el espesor del cerramiento para disminuir la frecuencia crítica(hormigón, ladrillo...) o disminuirlo para que se presente en la zona de altas frecuencias (placas de yeso laminado, vidrios..).
Así las frecuencias de resonancia de algunos elementos comunes en la construcción son:
ElementoFrecuencia crítica (Hz)
Ladrillo perforado 12cm215
Tabicón ladrillo hueco 7 cm 458
Hormigón armado de 12 cm152
Placa de yeso laminado de 15 mm2140
Vidrio de 6 mm2140
Doble placa de yeso de 15 mm2140
A la hora de establecer un modelo para la predicción del aislamiento acústico a ruido aéreo en paredes simples se distinguen tres zonas de evaluación:
Frecuencias inferiores a fcR=20 log(m f)-48
Frecuencias próximas de fcEl aislamiento disminuye sensiblemente tanto como más bajo sea el factor de pérdidas del material (fp)
Frecuencias superiores a fcR=20 log(m f)-48+10 lof(f/fc)+
10 log(fp)+5.5
