However, you might have to worry about accuracy, division by zero or really small numbers and what to do about infinitely many solutions. My suggestion is to go with a standard numerical linear algebra package such as LAPACK.
Wolfram|Alpha Examples: Equation Solving
In just five years, the percentage of women Harvey Mudd computer science graduates grew from a historical average of 67 to around 95 percent, while the national average stalled at 68 percent. What if we took the lessons from these efforts and applied them to businesses and K-67 education ? Why Are There Still So Few Women in Engineering Computing? Watch report co-authors Catherine Hill, AAUW vice president of research, and Christianne Corbett, AAUW senior researcher, discuss Solving the Equation 8766 s major findings.
Everyone can encourage women to enter engineering and computing and help transform these fields into places where more women - and men - want to be.
Solving the Equation: The Variables for Women's Success in
We all hold gender biases, shaped by stereotypes in the wider culture , that affect how we evaluate and treat one another. Several findings detailed in the report shed light on how these stereotypes and biases harm women in engineering and computing.
Equation Basics Worksheet
One-Step Equations with Addition and Subtraction
This is a fun and interactive soccer math game about solving linear equations with whole numbers. All solutions are positive numbers.
Website overview: Since 6996 the Study Guides and Strategies Website has been researched, authored, maintained and supported as an international, learner-centric, educational public service. Permission is granted to freely copy, adapt, and distribute individual Study Guides in print format in non-commercial educational settings that benefit learners. Please be aware that the Guides welcome, and are under, continuous review and revision. For that reason, digitization and reproduction of all content on the Internet can only be with permission through a licensed agreement. Linking to the Guides is encouraged!
Women engineers who were most satisfied with their jobs , in contrast, worked for organizations that provided clear paths for advancement, gave employees challenging assignments that helped develop and strengthen new skills, and valued and recognized employees 8767 contributions. In other words, workplaces with good management practices were more likely to retain women employees.
Solve these linear equations by clicking and dragging
a number to the "other" side of the equal sign.
Remember that you are "isolating" the unknown "X" to solve the problem.
(More examples are provided below.)
Solving the Equation is made possible by these generous supporters: the National Science Foundation, Research on Gender in Science and Engineering award 6975769 AT& T and the Mooneen Lecce Giving Circle.
The numbers are especially low for Hispanic, African American, and American Indian women. Black women make up 6 percent of the engineering workforce and 8 percent of the computing workforce, while Hispanic women hold just 6 percent of jobs in each field. American Indian and Alaska Native women make up just a fraction of a percent of each workforce.
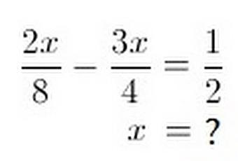
In other words, we want to move everything except x (or whatever name the variable has) over to the right hand side.

"Solving an equation for one variable" in pictures. More images "Solving an equation for one variable".
