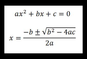
Hace tiempo hice una entrada sobre una Aplicacion para resolver ecuación de segundo grado hecha en c++. La siguiente es una aplicación con la misma función que ésta (resolver ecuaciones de segundo grado) con la diferencia de que está desarrollada con otro lenguaje (Java) y cuenta con una interfaz de usuario, haciéndola quizás un poco más amigable a la anterior. En algunas ocasiones que estamos estudiando matemáticas nos topamos con que debemos resolver una ecuación de segundo grado, ¿pero que sucede si queremos optimizar nuestro tiempo de estudio y resolver más rápidamente nuestros ejercicios? les planteo una aplicación desarrollada en java la cual nos resolverá nuestra ecuación de segundo grado en solo segundos.
ScreenShot de la aplicación:
Si lo desean la pueden descargar y probarla.
(Para descargar clic en la imagen de abajo)
Consideraciones:Creo que le debería agregar un botón para salir de la aplicación (LOL).
Evitar colocar valores de coeficientes del polinomio los cuales generen intentar resolver una raíz par negativa (no tiene solución en los números reales).
