Revista Opinión

Congelación pensiones/subida de pensiones

Publicado el 04 diciembre 2012 por Ferminapa
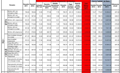
Estas tablas son la comparación de la "congelación" de pensiones de Zapatero con la "subida" de pensiones del gobierno Rajoy. Se desmontan todas las mentiras, pensión por pensión.
(Gracias Carmen)Congelación pensiones/subida de pensiones
Congelación pensiones/subida de pensiones

Volver a la Portada de Logo Paperblog