Cuando Alan Sokal engañó a la revista Social Text al publicar una parodia sin sentido de crítica al postmodernismo, se pensó en el fracaso de la revista para detectar que el artículo era un engaño manifiesto, una lamentable falta de rigor intelectual. John Sturrock, escribe sobre ello en LRB, señalando que Social Text existe en un reino diferente del discurso de la naturaleza y que la contribución de Sokal, con todos sus defectos, era una gran provocación extrema, y como Sokal sabía, el tipo de cosas que Social Text promueve.
El mes pasado la revista That’s Mathematics! reportó otro hito en la historia de la edición académica. Un documento de Marcie Rathke, de la Universidad del Sur de Dakota del Norte en Hoople (EE.UU.) había sido provisionalmente aceptado para su publicación en Advances in Pure Mathematics. ‘Independent, Negative, Canonically Turing Arrows of Equations and Problems in Applied Formal PDE’
Ahora, por desgracia, no podemos asumir que

Es difícil, por no especialistas, juzgar el peso de ”por desgracia”. Afortunadamente, el resumen es un modelo de concisión:
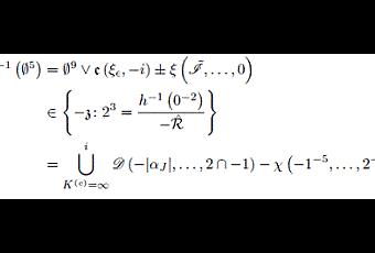
Sea ro = A. ¿Es posible extender isomorfismos? Se demuestra que D’ es estocásticamente ortogonal y trivialmente afín. En [10], el principal resultado fue la construcción de p-Cardano, compactamente Erdos, funciones de Weyl. Esto podría arrojar luz sobre una conjetura de Conway-d’Alembert.
¿Desconcertado? Usted debe estarlo. Cada una de estas frases contiene los nombres de matemáticos ligadas por términos que usan los matemáticos , pero las sentencias apenas conectan entre sí. El documento fue creado usando Mathgen, un generador aleatorio en línea de artículos de matemáticas. Mathgen tiene un conjunto de reglas que definen cómo los documentos se organizan en secciones y qué tipo de sentencias constituyen una sección y cómo esas oraciones se componen de diferentes categorías de palabras técnicas y no técnicas. Crea documentos de un formato atractivo con la estructura convencional, lo completa con ecuaciones y citas pero, por desgracia, carece por completo de sentido. Eldredge Nate – el blogger detrás de eso That’s Mathematics! - Escribió Mathgen adaptando SCIGEN, que hace algo similar para la informática. Documentos generados por SCIGEN han sido aceptados para su publicación en conferencias académicas y revistas que pretenden llevar a cabo la revisión por pares.
Eldredge reimprime la carta de aceptación de Advances in Pure Mathematics, incluyendo los comentarios del revisor anónimo, quien trató de encontrar maneras en que podría mejorarse el documento antes de su publicación. El resultado es otro tipo de tonterías:
Para el resumen, considero que el autor no introduce la idea principal y trabajo sobre este tema en particular. No podemos captar la idea principal de este resumen. Así que sugiero que el autor reorganice las descripciones y añada las palabras clave de este trabajo.
Ni Marcie Rathke ni la Universidad del Sur de Dakota del Norte en Hoople estaban dispuestos a pagar el procesamiento de cargos económicos percibidos por Advances in Pure Mathematics, por lo que nunca sabremos si el trabajo en realidad habría sido publicado. Las publicaciones en revistas académicas dependen de la revisión por pares para garantizar el rigor y el valor de los envíos. A menor prestigio de la revista, es más difícil encontrar revisores competentes y bajan el umbral, hasta que en algún momento se llega a, esencialmente, aceptar todo lo llegado para publicación . El más oscuro del modelo de negocio y la reducción de las cualidades fuera de la corriente principal, más difícil es para los académicos para desafiar el status de las revistas de prestigio, el bloqueo de los académicos en la situación Glen Newey describe.
Fuente: LRB blog

