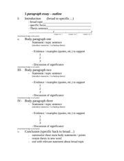
After the introduction, Myrtle will want to write three paragraphs that, collectively, will make up the body of the essay. In each paragraph, she'll want to focus on one reason or counter, and include evidence to support it. For example, she might want to write one paragraph on the idea that she could study at the library for longer, another paragraph on how she's older and more responsible than she used to be, and therefore deserves a later curfew, and another paragraph on the counter that an earlier curfew does not mean that she'll get more sleep.
How to Write an Argumentative Research Paper
When you start working with our writing service, our only requirement is that you give as much information about your essay as possible. This way we reduce the necessity of your essay revision in the future.
Writing an Argumentative Essay - Cheap Help | EssayEasyHelp
The body of your essay will contain the meat of your argument. You should go into more detail about the two sides of your controversy and state the strongest points of the counter-side of your issue.
Write About - argumentative
You 8767 re going to have to take a stance for or against school uniforms and offer credible evidence to support your stance. I 8767 d suggest reading this post on how to write a thesis statement : https:///essay-writing-blog/how-to-write-a-thesis-statement/
this is very useful
but I can not write argument for my research paper (my topic is the racism in america and how effect to people )
can you help me , please
Once you ve given yourself a solid foundation to work with, you can begin to craft your essay. An argument essay should contain three parts: the introduction , the body, and the conclusion. The length of these parts (number of paragraphs) will vary, depending on the length of your essay assignment.
A topic that large is going to be very difficult to explore in a single page but hey, it 8767 s a good exercise in concision.
hello again. I don 8767 t know if you got my resent reply but I was trying to ask and see if you could give me a little advice on some good resources involving work laws for teens.
For this reason, we have an individual approach for every client: your assignment is our assignment. It is easy to guess that most of us love to study. Not too many people are eager to have their lives bound to college or university.
An argumentative essay is an academic writing that students write after carrying out topic investigating, collecting, generating, and evaluating evidence. To write this type of an essay a student has to conduct a deep and extensive research of available literature or any other related materials, study different interviews, surveys and other kinds of papers. So as you see this is quite a tiring and difficult work.

"How to write argumentative thesis statement" in pictures. More images "How to write argumentative thesis statement".
