


Esta entrada participa en la Edición 5.2. Emmy Noether del Carnaval de Matemáticas, cuyo anfitrión es el blog Mates de David. Y si te gusta, también puedes votarla en Divúlgame, menéame y divoblogger. Muchas gracias. PRIMERA PARTE
Amanece en una preciosa isla del Sur del Pacífico. Es un sitio tan alejado de cualquier otro lugar habitado, que ni siquiera llega la señal telefónica para conectarse a internet.Tan sólo cada dos horas pasa por encima de la isla un satélite de telecomunicaciones, que permite a sus habitantes conectarse con el resto del mundo durante apenas un minuto.
Michael Laudrup ha escogido este idílico lugar para pasar unas tranquilas y merecidas vacaciones con su familia.
Como cada mañana, se ha acercado a la costa para presenciar el hermoso amanecer. Son las ocho de la mañana. Justo en este momento pasa por encima el satélite, y el teléfono suena indicándole que tiene un mensaje.
No le apetece coger el telefóno, pero ve que se trata de un mensaje de su representante, así que finalmente decide leerlo. El mensaje dice así:'Michael, tienes dos ofertas para entrenar la próxima temporada. Una es de la Juventus de Turín, y la otra es del Real Madrid. Como puedes ver, unos te ofrecen justo el doble que los otros.
El problema es que necesitan una respuesta inmediata, así que dentro de 2 horas, cuando tengas nuevamente conexión, deberás contestarme y decirme por cuál de los dos equipos has decidido fichar. Si no, ambos buscarán otro entrenador. La Juventus te ofrece 2 millones de euros, y el Real Madrid…'
¡Vaya! Justo en ese preciso momento, el satélite se había alejado lo suficiente como para que se cortase la conexión.
Michael tenía dos horas para decidir por cuál de los dos equipos fichar.Así que bajó hasta la playa, y comenzó a meditar la respuesta que le daría a su representante.
Ambas ofertas procedían de dos equipos en los que había jugado, por lo que no sentía especial predilección por uno u otro.
La oferta de la Juve estaba muy bien, pero, ¿y si la del Real Madrid era mejor?
vs.
Iba a ser una difícil elección. Podía echarlo a suertes, pero creía que una decisión de tal importancia merecía buscar alguna forma lógica de tomar la decisión. Quizás los conocimientos de probabilidad que aún recordaba de sus estudios podrían ayudarle…

¿Te atreves a ayudar a Michael a escoger su nuevo equipo para la próxima temporada?

SEGUNDA PARTE
En un principio, Laudrup piensa que la oferta de la Juventus es bastante tentadora. Y además, hay un 50% de probabilidad de que la opción que escoja sea la mejor de las dos.
Ya me gustaría a mí ganar ese dinero cada año… Y dado que si escoge la oferta del Real Madrid se arriesga a ganar menos dinero, al cabo de las dos horas yo contestaría: ¡Ficho por la Juventus!Pues sí, parece una elección lógica.
Sin duda. Si cambiando su elección puede ganar 2 millones, y sin embargo solo puede perder uno, la cosa está clara, ¿no?
Bueno, aquí estaríamos frente a un estudio económico sobre la utilidad marginal de esos 2 millones: Laudrup puede estar más preocupado por perder 1 millón, que interesado por ganar 2 millones más.
Pero vamos a suponer que a Michael le importa lo mismo el millón que puede ganar de más que el puede perder. y vamos a abordar el problema de otra forma. Veamos: tenemos una oferta de 2.000.000 € de la Juventus, ¿verdad?
Sí.
Y sabemos que una de las ofertas es el doble que la otra. Así que el Real Madrid puede haber ofrecido 1 millón o 4 millones de euros.
Correcto.
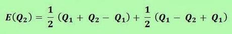
Bien, ahora vamos a calcular cuál es el salario estimado que obtendrá Laudrup si cambia de opinión y escoge fichar por el Real Madrid.
Hay un 50% de posibilidades de ganar 1 millón de euros, y otro 50% de posibilidades de ganar 4 millones de euros. Así que la ganancia estimada de esta segunda opción, que llamaremos E(Q2), la calcularemos hallando la media de los dos casos que se pueden dar:

Así que, si cambia de opción, su ganancia estimada será de 2 millones y medio, medio millón más que si se queda con la oferta del equipo de Turín, ¿no?
Efectivamente, si aplicamos las leyes de la probabilidad, Laudrup debería en este caso escoger la segunda opción, pues es más ventajosa para él. Pero además, esto no solo ocurrirá en este caso, sino que se dará siempre que el representante exprese la diferencia entre ambas ofertas en términos relativos.
No acabo de comprenderlo.
Llamemos Qa y Qb a las dos ofertas. Definimos r como la razón entre una y otra:

No nos importa cuál de las dos ofertas, Qa o Qb, es la mayor. En todo caso, r siempre será un número positivo mayor que cero (de momento, Laudrup no piensa entrenar ningún equipo de forma gratuita, así que ni Qa ni Qb son iguales a cero, ni tampoco piensa pagar dinero por hacerlo, por lo que Qa y Qb son dos valores positivos mayores que cero).
Si llamamos Q1 a la oferta que tomamos en primer lugar, y Q2 a la oferta que aún no hemos descubierto, tenemos que Q2 puede valer (Q1 · r) o bien (Q1 / r).
Calculamos el valor estimado de Q2, que llamaremos E(Q2), sabiendo que ambas ofertas tienen la misma probabilidad de ser la de mayor importe:

Si definimos k como

Tenemos que

Vamos a ver gráficamente cómo se comporta el valor de k en función de los valores de r, esto es, según la diferencia que haya entre una y otra oferta:

= 1 -> E(Q2) >= Q1" title="La probabilidad y el amanecer" />= 1 -> E(Q2) >= Q1" />= 1 -> E(Q2) >= Q1" />= 1 -> E(Q2) >= Q1" />= 1 -> E(Q2) >= Q1" />= 1 -> E(Q2) >= Q1" />= 1 -> E(Q2) >= Q1" title="La probabilidad y el amanecer" />= 1 -> E(Q2) >= Q1" border="0" title="La segunda oferta siempre será mejor que la primera k >= 1 -> E(Q2) >= Q1" />
Vemos que k será siempre mayor que 1, salvo en el caso de que las dos ofertas sean iguales. por lo que el valor estimado de la oferta desconocida E(Q2) siempre será mayor que el de la oferta que conocemos Q1. Así que, sea como sea la primera opción, siempre deberemos escoger la segunda.
O sea, que Laudrup deberá contestar: ¡Ficho por el Real Madrid!
Sí, pero... ¿te imaginas qué ocurriría si el agente hubiese citado primero la oferta del Real Madrid? Siguiendo el mismo razonamiento, ahora Laudrup estaría pensando en fichar por la Juve...
No obstante, todo esto sólo pasa cuando la relación entre ambas ofertas la expresamos en términos relativos. Imaginémonos que su representante, en vez de decir que una oferta duplica la otra, hubiese dicho que una oferta es superior a la otra en 1.000.000 € por ejemplo, esto es, que hubiese cuantificado la diferencia en valores absolutos. ¿Qué es lo que sucedería?
No lo sé.
Vamos a calcular de nuevo la ganancia estimada de Laudrup si escoge la opción del Real Madrid:

Resulta que obtenemos una ganancia estimada de 2.000.000 €, ¡justo la misma cantidad que le ofrece la Juventus!
Vamos a verlo en términos matemáticos. Si ahora definimos

tenemos que:



Así que si la diferencia la contabilizamos en términos absolutos, y no relativos, ocurre que obtenemos una solución matemática más ‘lógica’…
Cierto, en este caso el resultado matemático coincide con lo que nos dicta el sentido común.

Y como las ofertas de ambos clubes son iguales, y tiene la misma simpatía por ambos, le costaría mucho decidirse por uno u otro, por lo que Michael finalmente contestaría: ¡Me quedo en mi equipo actual!
Bien, pero estas oportunidades no surgen todos los días. ¿No podemos ayudarle de alguna forma a decidirse por una de las dos ofertas?
Está bien, después de tantos cálculos, no le vamos a dejar sin una solución a su problema.
Ya hemos visto que según interpretemos los datos, la decisión puede ser distinta. ¿Qué debe hacer Laudrup para tomar una decisión correcta?

¿Te acuerdas de cuando Llorente no sabía qué hacer, si fichar por el Tottenham Hotspur o por el Aston Villa? Lo vimos hace un tiempo, en nuestra historia ‘La difícil decisión de Llorente’.
Ah, sí, ya me acuerdo. En aquel caso lo que debía hacer era aplicar la teoría de la parada óptima, ¿verdad?
Así es. Lo primero que Laudrup debe hacer es pensar cuánto quiere ganar por entrenar la próxima temporada, y cuando haya una oferta que iguale o supere esa cantidad, tomarla, sin pensar en que posteriormente puede tener ofertas mejores. Y puesto que en un principio la oferta de la Juventus le parecía suficientemente interesante y cumplía sus expectativas, sin duda debería aceptarla.

Entonces, podemos concluir que Laudrup contestará: ¡Ficho por la Juventus!
Lo siento, pero tampoco.
¿Cómo? ¿Hay algún razonamiento más que se nos haya escapado?
Sin duda. Este problema que se le ha planteado a Laudrup tiene una relación directa con la teoría de la decisión y la interpretación bayesiana de la probabilidad, y ha sido estudiado desde hace mucho tiempo por expertos en lógica, filosofía, matemáticas, etc. Se denomina la paradoja de los dos sobres o paradoja del cambio. En este enlace, podrás encontrar más información sobre el tema: Sobre la paradoja de los dos sobres, El problema de los dos sobres
Sí, pero, al final, ¿qué es lo que hizo Laudrup? Si no fichó por el Real Madrid, y tampoco por la Juve, ¿qué decisión tomó?
Finalmente, tras las 2 horas de paseo por la playa, decidió que en ninguno de los dos sitios, ni en Madrid ni en Turín, podría disfrutar de los magníficos amaneceres de esta isla. Y decidió que tampoco volvería a entrenar a su equipo actual: se tomaría un año sabático, descansando en este maravilloso lugar con su familia.
Y tras enviar el mensaje de respuesta a su representante, hizo lo que tenía que haber hecho cuando llegó a la isla: apagó el teléfono.

Si te gustó esta historia, puedes votar por ella en Divúlgame, menéame y divoblogger. Muchas gracias.
