Ya estamos en abril y lo prometido es deuda: con el nuevo mes se ha hecho la difusión de las invitaciones para participar en el estudio sobre la caracterización de los entornos personales de aprendizaje que utilizan los residentes en España.
¿Y a cuántos? ¿Y cómo?
Diseño y participantes
Estudio transversal, multicéntrico en base a la población de residentes de los programas de FSE que se desarrollan en España: Biólogo Interno Residente, Enfermero Interno Residente, Farmacéutico Interno Resiente, Médico Interno Residente, Psicólogo Interno Residente, Químico Interno Residente.
Los participantes serán reclutados en los centros hospitalarios y otros dispositivos asistenciales acreditados para la docencia que cuenten con unidades docentes activas, según se recoge en las convocatorias en el Boletín Oficial del Estado de las pruebas selectivas para el acceso a plazas de FSE publicadas durante los años 2008 – 2013.
Convocatoria FSE
Plazas convocadas
2012 (Incorporación en 2013)
7845
2011 (Incorporación en 2012)
8264
2010 (Incorporación en 2011)
8258
2009 (Incorporación en 2010)
8098
2008 (Incorporación en 2009)
7866
TOTAL
40331
Para asegurar la representatividad de los resultados, asumiendo un grado de error de 5 (factor d = 5) y un nivel de confianza del 95%, y considerando un total de 40331 residentes en los programas de FSE activos, se estima un tamaño muestral de 381 residentes a quienes invitar a participar en el estudio.
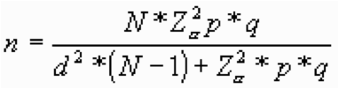
Atendiendo al objetivo principal el estudio (cuantificar la proporción de residentes de los programas de FSE que se desarrollan en España que utilizan un PLE), el tamaño muestral se ha calculado con la fórmula de cálculo para la estimación de proporciones:

donde,
- N es el tamaño de la población (potenciales participantes) = 40331
- d es el margen de error (podríamos decir que es la desviación de la distribución muestral de un estadístico y su fiabilidad) = 5
- Z α2 = 1,96 cuando fijamos un intervalo de confianza del 95% (alfa = 0,05)
- p es una proporción que corresponde a la cantidad de participantes que conocemos (o deberíamos conocer), que responderán de una determinada manera a las preguntas. Hace referencia a la proporción en la distribución de respuestas. Cuando no se conoce, si se fija en un 50% se maximiza la muestra.
- q = 100 – p
Procedimiento
La inclusión se producirá a través de un doble sistema:
- Difusión de la invitación personalizada a través del correo electrónico a los jefes de estudios de los centros que de reclutamiento para que se transmita de manera piramidal a tutores de sus unidades docentes y de aquí, a sus residentes;
- Difusión a través de las redes sociales (Twitter, Facebook, Linkedin, Google+) de este blog.
Material
Los datos se recopilarán mediante un cuestionario anónimo online, disponible durante el mes de abril y mayo de 2014:
https://docs.google.com/forms/d/1nfwr-iHRUuo5QhiJkIUOUryPcMwtNSrMqxs6AZZUvUw/viewform
que incluye
- Datos sociodemográficos y de filiación del programa, especialidad, unidad docente, centro y año del mismo de FSE que se esté cursando.
- Conocimiento sobre PLE.
- Opinión sobre la utilidad de los PLE en los programas de FSE.
- Caracterización de los componentes del PLE.
Si tenéis algo que ver con Formación Sanitaria Especializada, cualquier contribución en el proyecto será bienvenida.
