Pitágoras nació en la isla de Samos en el año 582 A.c. Siendo muy joven viajó a Mesopotamia y Egipto. Tras regresar Samos, finalizó sus estudios, según Diógenes Laercio con Hermodamas de Samos y luego fundó su primera escuela durante la tiranía de Polícrates. Abandonó Samos para escapar de la tiranía de Polícrates y se estableció en la Magna Grecia, en Crotona alrededor del 525 A.C., en el sur de Italia, donde fundó su segunda escuela.Las doctrinas de este centro cultural eran regidas por reglas muy estrictas de conducta. Su escuela estaba abierta a hombres y mujeres indistintamente, y la conducta discriminatoria estaba prohibida. Sus estudiantes pertenecían a todas las razas, religiones, y estratos económicos y sociales. Tras ser expulsados por los pobladores de Crotona, los pitagóricos se exiliaron en Tarento donde se fundó su tercera escuela. Poco se sabe de la niñez de Pitágoras.
Todas las pistas de su aspecto físico probablemente sean ficticias excepto la descripción de una marca de nacimiento llamativa de Pitágoras tenía en el muslo. Es probable que tuviera dos hermanos aunque algunas fuentes dicen que tenía tres. Era ciertamente instruido, aprendió a tocar la lira, a escribir poesía y a recitar a Homero. Había tres filósofos entres sus profesores, que debieron de haber influido a Pitágoras en su juventud.
El esfuerzo para elevarse a la generalidad de un teorema matemático a partir de su cumplimiento en casos particulares ejemplifica el método pitagórico para la purificación y perfección del alma, que enseñaba a conocer el mundo como armonía; en virtud de ésta, el universo era un cosmos, es decir, un conjunto ordenado en el que los cuerpos celestes guardaban una disposición armónica que hacía que sus distancias estuvieran entre sí en proporciones similares a las correspondientes a los intervalos de la octava musical. En un sentido sensible, la armonía era musical; pero su naturaleza inteligible era de tipo numérico, y si todo era armonía, el número resultaba ser la clave de todas las cosas. La voluntad unitaria de la doctrina pitagórica quedaba plasmada en la relación que establecía entre el orden cósmico y el moral; para los pitagóricos, el hombre era también un verdadero microcosmos en el que el alma aparecía como la armonía del cuerpo. En este sentido, entendían que la medicina tenía la función de restablecer la armonía del individuo cuando ésta se viera perturbada, y, siendo la música instrumento por excelencia para la purificación del alma, la consideraban, por lo mismo, como una medicina para el cuerpo.
La santidad predicada por Pitágoras implicaba toda una serie de normas higiénicas basadas en tabúes como la prohibición de consumir animales, que parece haber estado directamente relacionada con la creencia en la transmigración de las almas; se dice que el propio Pitágoras declaró ser hijo de Hermes, y que sus discípulos lo consideraban una encarnación de Apolo.
- La primera aportación fue el introducir la necesidad de demostrar la proposición matemática de manera inmaterial e intelectual, al margen de su sentido práctico. Dividió el saber científico en cuatro ramas: la aritmética o ciencia de los números – su lema era “todo es número”- la geometría, la música y la astronomía. También descubrió que existía una estrecha relación entre la armonía musical y la armonía de los números. Teoría de los números entre las amplias investigaciones matemáticas realizadas se encuentran sus estudios de los números pares e impares y de los números primos y de los cuadrados, esenciales en la teoría de los números. Geometría demostrativa primitiva: el origen del término geometría es una descripción precisa del trabajo de los primeros geómetras, que se interesaban en problemas como la medida del tamaño de los campos o el trazado de ángulos rectos para las esquinas de los edificios. Este tipo de geometría empírica, que floreció en el Antiguo Egipto, Sumeria y Babilonia, fue refinado y sistematizado por los griegos. En el siglo VI A.c. el matemático Pitágoras colocó la piedra angular de la geometría científica al demostrar que las diversas leyes arbitrarias e inconexas de la geometría empírica se pueden deducir como conclusiones lógicas de un número limitado de axiomas, o postulados. Estos postulados fueron considerados por Pitágoras y sus discípulos como verdades evidentes; sin embargo, en el pensamiento matemático moderno se consideran como un conjunto de supuestos útiles pero arbitrarios.
- TEOREMA DE PITÁGORAS
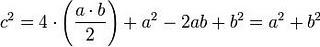
Establece que en un triángulo rectángulo, el cuadrado de la hipotenusa es igual a la suma de los cuadrados de los dos catetos. Si un triángulo rectángulo tiene catetos de longitudes a y b, y la medida de la hipotenusa es c, se establece que:
Hay distintas demostraciones de este teorema, Loomis clasificaría las demostraciones en cuatro grandes grupos: las algebraicas, donde se relacionan los lados y segmentos del triángulo; geométricas, en las que se realizan comparaciones de áreas; dinámicas a través de las propiedades de fuerza, masa; y las cuaterniónicas, mediante el uso de vectores.
Demostración del teorema de Pitágoras basado en el deújo anterior: sea el triángulo rectángulo de catetos a y b e hipotenusa c. se trata de demostrar que le área del cuadrado de lado c es igual a la suma de las áreas de los cuadrados de lado a y lado b. si añadimos tres triángulos iguales al original dentro des cuadrado de lado c formando un cuadrado de menor tamaño. Se puede observar que el cuadrado resultante tiene efectivamente un lado de b-c. Luego, el área de este cuadrado menor puede expresarse de la siguiente manera:
Ya que:
Es evidente que el área del cuadrado de lado c es la suma del área de los cuatro triángulos de altura a y base b que están dentro de él más el área del cuadrado menor:
Con lo cual queda demostrado el teorema.Realizado por Cristina Ramírez Jiménez, 4º C.
Hay distintas demostraciones de este teorema, Loomis clasificaría las demostraciones en cuatro grandes grupos: las algebraicas, donde se relacionan los lados y segmentos del triángulo; geométricas, en las que se realizan comparaciones de áreas; dinámicas a través de las propiedades de fuerza, masa; y las cuaterniónicas, mediante el uso de vectores.
Demostración del teorema de Pitágoras basado en el deújo anterior: sea el triángulo rectángulo de catetos a y b e hipotenusa c. se trata de demostrar que le área del cuadrado de lado c es igual a la suma de las áreas de los cuadrados de lado a y lado b. si añadimos tres triángulos iguales al original dentro des cuadrado de lado c formando un cuadrado de menor tamaño. Se puede observar que el cuadrado resultante tiene efectivamente un lado de b-c. Luego, el área de este cuadrado menor puede expresarse de la siguiente manera:
Ya que:
Es evidente que el área del cuadrado de lado c es la suma del área de los cuatro triángulos de altura a y base b que están dentro de él más el área del cuadrado menor: 