Licmata
compartido
MIS BLOGS
-
Matemáticas con Tecnología
http://licmata-math.blogspot.mx/
Recursos para el proceso enseñanza aprendizaje de la matemática.
Se enfatiza el uso de tecnologías de la información y comunicación y la implementación de modelos educativos centrados en el aprendizaje.
ÚLTIMOS ARTÍCULOS (432)
-
Activity 2.1. Geometric Interpretation of Derivative
Actividad 2.1. Interpretación Geométrica de la DerivadaEl cálculo diferencial e integral es el resultado del esfuerzo de grandes matemáticos de todos los... Leer el resto
Publicado el 15 junio 2017 CIENCIA, TECNOLOGÍA -
Activity 1.2. Limit Theory and Continuity
Actividad 1.2. Límites y Continuidad de Funciones.La Teoría de Límites es el fundamento del cálculo diferencial e integral; además permite determinar si una... Leer el resto
Publicado el 02 junio 2017 CIENCIA, TECNOLOGÍA -
Activity 1.1. Introduction to Differential Calculus.
Actividad 1.1. Introducción al Cálculo Diferencial.Las herramientas de la matemática se han desarrollado para resolver problemas que se han presentado en... Leer el resto
Publicado el 09 mayo 2017 CIENCIA, TECNOLOGÍA -
Exercise 4.1. Vector Algebra.
Ejercicio 4.1. Álgebra Vectorial.Como otras ramas de la matemática, las operaciones con vectores son una herramienta que puede emplearse para la resolución de... Leer el resto
Publicado el 04 abril 2017 CIENCIA, TECNOLOGÍA -
Exercise 3.1. Mathematical Functions Applications.
Ejercicio 3.1. Aplicaciones de las Funciones Matemáticas.Las funciones matemáticas son una herramienta para la resolución de problemas. Leer el resto
Publicado el 24 marzo 2017 CIENCIA, TECNOLOGÍA -
Activity 2.2. The Conics.
Actividad 2.2. Las Cónicas.El estudio de la geometría proviene del siglo V a. C. en Grecia. Los más reconocidos matemáticos de esa época realizaron grandes... Leer el resto
Publicado el 08 marzo 2017 CIENCIA, TECNOLOGÍA -
Activity 2.1. The Straight Line in the Cartesian Plane
La línea Recta en el Plano Cartesiano.En el libro de Descartes, "El Discurso del Método", se plantea una nueva forma de hacer Geometría. Leer el resto
Publicado el 27 febrero 2017 CIENCIA, TECNOLOGÍA -
Exercise 1.4. Oblique Triangles.
Problemas de razonamiento acerca de Triángulos Oblicuángulos.La trigonometría es otra de las herramientas que disponemos para el modelado y resolución de... Leer el resto
Publicado el 13 febrero 2017 CIENCIA, TECNOLOGÍA -
Activity 1.3. Trigonometric Functions
Actividad 1.3. Funciones TrigonométricasLa trigonometría es una rama de la matemática que estudia las relaciones entre las longitudes de los lados de un... Leer el resto
Publicado el 03 febrero 2017 CIENCIA, TECNOLOGÍA -
Pythagorean Theorem Applications.
Aplicaciones del Teorema de Pitágoras.Pocos matemáticos son tan conocidos como Pitágoras; muchas personas completamente alejadas de la matemática y la ingenierí... Leer el resto
Publicado el 27 enero 2017 CIENCIA, TECNOLOGÍA -
Activity 1.2. Areas and Volumes
Actividad 1.2. Áreas y volúmenes.La geometría fue la primera rama de las matemáticas cuyo estudio fue sistematizado y organizado en forma de ciencia, alrededor... Leer el resto
Publicado el 17 enero 2017 CIENCIA, TECNOLOGÍA -
Activity 1.1. The Golden Ratio and the Fibonacci Sequence
Actividad 1.1. La Razón Áurea y la Serie de Fibonacci.En la matemática existen muchos números "especiales", por ejemplo pi, que es la razón de la... Leer el resto
Publicado el 10 enero 2017 CIENCIA, TECNOLOGÍA -
Integration Techniques 03. Partial Fractions.
Métodos y Técnicas de Integración 03.Fracciones Parciales.Un gran porcentaje de los problemas de integración no pueden ser resueltos analíticamente, deben ser... Leer el resto
Publicado el 04 noviembre 2016 CIENCIA, TECNOLOGÍA -
Linear inequalities applications.
Aplicaciones de las desigualdades lineales.Los modelos matemáticos son la representación simbólica de un fenómeno, situación o problema real del que se abstrae... Leer el resto
Publicado el 03 noviembre 2016 CIENCIA, TECNOLOGÍA -
Integration Techniques 02.
Métodos y Técnicas de Integración 02.Esta es la segunda parte de una serie de publicaciones acerca de los métodos de integración que se aplican cuando las... Leer el resto
Publicado el 18 octubre 2016 CIENCIA, TECNOLOGÍA -
Liner equations applications (3.1)
Aplicaciones de las ecuaciones lineales (3.1)Las ecuaciones lineales son una herramienta para resolver problemas. Para poder utilizarlas es indispensable poder... Leer el resto
Publicado el 17 octubre 2016 CIENCIA, TECNOLOGÍA -
Integration Techniques 01.
Métodos y Técnicas de Integración 01.La mayoría de los problemas de integración no pueden ser resueltos analíticamente, por lo que suelen ser resueltos... Leer el resto
Publicado el 11 octubre 2016 CIENCIA, TECNOLOGÍA -
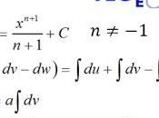
Integration Formulae (Part 5a).
Fórmulas de Integración (Parte 5a).La fórmula identificada con el número 5 en la imagen de la parte superior, es una de las más útiles y, al mismo tiempo, la qu... Leer el resto
Publicado el 03 octubre 2016 CIENCIA, TECNOLOGÍA -
Integration Techniques. Exercises 01
Técnicas de Integración. Ejercicios 01Las integrales que pueden ser resueltas analíticamente son unas pocas, y de esa pequeña fracción, sólo las más sencillas s... Leer el resto
Publicado el 26 septiembre 2016 CIENCIA, TECNOLOGÍA -
Integration Formulae (Part 5)
Fórmulas de Integración (Parte 5)En esta publicación revisaremos la fórmula identificada con el número 5 en la imagen que se encuentra en la parte superior:... Leer el resto
Publicado el 20 septiembre 2016 CIENCIA, TECNOLOGÍA
