
Cabo Udra (Bueu, Pontevedra, España)
Esta entrada es una continuación de la entrada anterior; Representación de moléculas orgánicas (a nivel nombrar-formular) . En ella vamos a intentar afrontar uno de los problemas que supone la representación de moléculas de la forma simplificada, este es el saber cuántos H hay en cada punto, ya que esto puede llevar a cometer ciertos fallos como pintar carbonos de cinco enlaces.
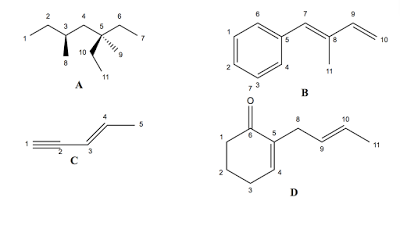
Lo que vamos a hacer es que en la siguiente figura voy a poner unos dibujos de cuatro moléculas orgánicas que dibujé con el Chemdraw que cada una tiene numerados los átomos; se trata de que seáis capaces de identificar el número de hidrógenos que tiene cada átomo. Yo lo resolveré debajo, pero es importante que lo intentéis primero vosotros (consejo, contar los enlaces que hay alrededor de carbono y ver los enlaces que faltan para llegar a 4 en los carbonos).

A1: 32: 23: 14: 25: 06: 27: 38: 39: 310: 211: 3 B1: 12: 13: 14: 15: 06: 17: 18: 09: 010: 211: 3 C1: 12: 03: 14: 15: 3 D1: 22: 23: 24: 15: 06: 07: 08: 29: 110: 111: 3
Descubrirlaquimica. Estudiante de química en la USC
02/2/2018

