En un buen curso de cálculo de una variable, es indispensable hablar de los teoremas de continuidad y derivabilidad: Teorema de Rolle, Teorema del Valor Medio de Lagrange y Teorema del Valor Medio Generalizado de Cauchy. Antes, estas cosas se estudiaban en bachillerato. En mis tiempos, se nos demostraba, hasta hace algunos años, se los enunciaba; hoy por hoy ni lo uno ni lo otro.
Sin embargo, en la Universidad, por muy básico que sea el curso, se suelen demostrar.
El Teorema de Rolle dice lo siguiente. Sea
una función continua en
, derivable en
y tal que
. Entonces existe
tal que
.La demostración de este Teorema es, en realidad, la principal de las 3 demostraciones y no es demasiado complicada. Se basa en que si una función derivable en un intervalo abierto alcanza un máximo o un mínimo en el intervalo, la derivada en dicho punto ha de anularse.
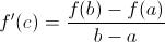
El segundo de los teoremas clásicos es el Teorema de Lagrange (que ya lo vimos por aquí colgado de un puente, por cierto) y que asegura lo siguiente. Sea
una función continua en
, derivable en
. Entonces existe
tal que
.Para demostrar este teorema, basta aplicar el Teorema de Rolle a la función
que es continua en
, derivable en
y cumple que
.Finalemente, el último de los teoremas es el Teorema de Cauchy, que dice lo siguiente. Sean
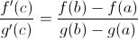
dos funciones continuas en
y derivables en
. Entonces existe
tal que
.Ahora es cuando yo les digo a los alumnos que paren de copiar y que atiendan a la demostración. Si aplicamos el Teorema de Lagrange a
tendremos que existe
tal que
, o lo que es igual,
. Si hago lo mismo con
, tendré que existe
tal que
, o lo que es igual,
. Haciendo el cociente de ambas expresiones tendremos que
, y ya está demostrado el Teorema.Lo normal es uqe los alumnos, al haberles dicho que dejaran de escribir, estén algo moscas... pero por norma general aceptan esta demostración que, por otra parte, ESTÁ MAL.
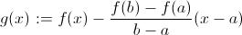
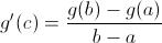
La demostración correcta (o bueno, una de ellas) sigue haciendo uso del Teorema de Lagrange, pero de otro modo: basta aplicarlo a
. Sin embargo, te voy a pedir, amable lector, que me digas por qué la demostración anterior está mal.Conste que al final, siempre hay algún listillo entre mis alumnos que da con la respuesta. Y para mí, eso es una prueba de que esa persona SABE matemáticas.
¿Y tú? ¿también sabes matemáticas?
Tito Eliatron Dixit
Si te ha gustado esta entrada, puedes dejar un comentario directamente en Tito Eliatron Dixit.
