Cuando una magnitud se ha medido y se plantea el resultado de dicha medición en una determinada unidad a menudo esta debe ser transformada en otra homogénea. Para resolver la anterior circunstancia se utilizarán los factores de conversión que consisten en unas fracciones dispuestas de tal modo que simplifiquen/eliminen la unidad presentada y la transformada y la transformen en la solicitada. En el párrafo anterior se puede apreciar la definición de factores de conversión, pero lo cierto es que es un procedimiento que a muchas personas les cuesta llevar a cabo. Por este motivo, voy a hacer ejemplos explicados paso por paso, para que os quede claro.
Ejemplo 1: La distancia entre la tierra y la luna es de 340.000 km. Expresar esta distancia en angstroms.

Lo primero que hacemos es expresar el resultado en notación científica ya que esto nos simplificará mucho los cálculos.
D = 340.000 km = 3,4 x 105 km
Es muy importante que los datos/resultado que expreséis vayan acompañados de unas unidades, ya que no es lo mismo 3,4 km que 3,4 cm. Por mucho que estéis trabajando en el sistema internacional, la persona que esté siguiendo tus cálculos no tiene porque entenderte.
El siguiente paso es pasar de km a metros (1km = 1.000 m). Una vez hecho esto utilizaremos la conversión correspondiente para pasar de metros a anstrongs, la cual nos dan como dato del enunciado.
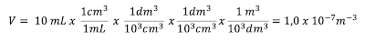
Ejemplo 2: Expresar en unidades del Sistema Internacional un volumen de 10 mL. Con este ejemplo tenemos que tener cuidado ya que hay muchos errores que podemos cometer. Pasar de mL a L no es convertir el volumen en el sistema internacional. El mL son cm3, los L son dm3, la unidad de volumen del sistema internacional es el m3. Por tanto, tenemos que pasar de cm3 a m3. Para pasar de centímetros a metros, hay que dividir entre 10x10 que es 100. Ahora bien, como son metros cúbicos, hay que dividir entre 103 una vez y entre otra vez 103, lo que es lo mismo dividir entre 10-6. Es decir:

Este ejemplo era similar al anterior, con la salvedad de que en este caso no eran unidades de longitud, eran unidades de volumen.
Ejemplo 3: Un caracol de carreras es capaz de avanzar a 2,5 cm/min. Expresar esta velocidad en metros por semana.
Este problema es un problema que combina dos tipos de unidades. Unidades de longitud y unidades de tiempo. Téngase en cuenta que esta manera de expresarlo es como poner 2,5 cm·min-1.
Lo primero que haremos será pasar de cm a m (1 m son 100 cm, y lo ponemos dividiendo). Después pasamos de minutos a horas (1h son 60 min) y de horas a días (1 día son 24 h) y de días a semanas (1 semana son 7 días). Todo esto que he escrito deberemos ponerlo en forma de fracciones.
Para no liaros os aconsejo que siempre paséis a las unidades deseadas las unidades del numerador y después hagáis esto mismo con el denominador. O hacedlo al revés pero no empecéis por un sitio, luego sigáis por otro y luego volváis al sitio donde estabais.Ejemplo 4: Convertir 1J/gºC en BTU/lbºF. Datos: 1kcal = 4186,8 J; 1BTU = 251,97 cal; 1ºC = 1,8ºF
Este problema es similar al anterior, con la salvedad de que ahora en el denominador tenemos dos unidades a convertir. Seguiremos el mismo procedimiento que en el problema anterior aplicando los factores de conversión que se nos proporcionan en el enunciado.
En este ejemplo podéis apreciar la relevancia de seguir un orden a la hora de realizar las conversiones, ya que sino podéis liaros.Ejemplo 5: Sabiendo que la constante de los gases ideales R tiene un valor de 0,082 atm·L/mol·K, pasarla a unidades del sistema inglés (ft3 · atm/lbmol ·ºR). Datos: 1ft3=28,316L;1lb mol = 453,59 mol; 1K = 1,8ºR.
Este problema es el problema de factores de conversión más complejo que resolveremos en esta entrada. El procedimiento a seguir es siempre el mismo. Todos los factores de conversión que he empleado para resolver los problemas los he proporcionado como dato, pero es posible que algunos tengas que memorizarlos. Pregunta a tu profesor cuales tienes que saberte.
Descubrirlaquimica. Estudiante de Química en la USC. Exalumna Colégio Sagrado Corazón de Pontevedra. Miembro SXGQ
28 de Septiembre de 2019

