El día de hoy nos vamos a referir sobre algunos conceptos y definiciones acerca de las distribuciones discretas de probabilidad mayormente conocidas.
¿Qué es una variable aleatoria?
Matemáticamente, una variable aleatoria es una función real X cuyo dominio es el espacio muestral Ω asociado a un experimentoy cuyo conjunto de llegada es R, el conjunto de todos los números reales, es decir:
Dicho de otra manera, una variable aleatoria es el valor numérico resultante de un experimento con un determinado nivel de incertidumbre.
Qué es una distribución de probabilidad?
Se denomina distribución de probabilidad de una variable aleatoria al conjunto de todos aquellos posibles resultados de un experimento y la probabilidad de ocurrencia asociada para cada uno de ellos, además está completamente descrita por la función de distribución de probabilidad.
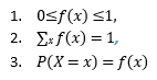
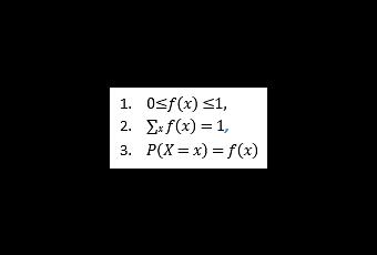
Función de distribución discreta de probabilidad.
Sea X una variable aleatoria discreta y sea el conjunto de pares ordenador(x, f(x)) se define a este conjunto como una función de distribución discreta si para cadax posible se cumple que:

Función de distribución acumulada.
La función de distribución acumulada de F(x) de una variable aleatoria discretaX con distribución de probabilidad f(x) está dada por:

La media, promedio o valor esperado representa el valor que indica la posición central de una distribución de probabilidad. Sea X una variable aleatoria con función de distribución de probabilidadf(x), para el caso discreto, el valor esperado está dado por:

La varianza determina mide el nivel de dispersión de una variable aleatoria X con respecto a su media µ. SeaX una variable aleatoria con función de distribución de probabilidadf(x) y media µ, para el caso discreto, la varianza está dada por:

Una distribución de probabilidad binomial presenta las siguientes características:
1.Sólo existen dos posibles resultados mutuamente excluyentes: "éxito" o "fracaso"
2.La variable aleatoria resulta de realizar conteos, es decir, permite contar el número de éxitos en
una cantidad fija (n) de repeticiones.
3.La probabilidad de éxito (p) se mantiene invariable en cada repetición.
4.Las repeticiones son independientes para cada una de las repeticiones.
La fórmula de la distribución de probabilidad de una variable aleatoria binomial está dada por:

n: número fijo de repeticiones.
x: valor que toma la variable aleatoria y que corresponde al número de "éxitos" que ocurren en dicho experimento.
p: probabilidad de ocurrencia del "éxito".
q: probabilidad de ocurrencia del "fracaso" (1-p)
La media o valor esperado de esta distribución de probabilidad está dada por:

La varianza de esta distribución de probabilidad está dada por:

Una distribución de probabilidad Geométrica presenta las siguientes características:
1.Sólo existen dos posibles resultados mutuamente excluyentes: "éxito" o "fracaso"
2.La probabilidad de éxito (p) se mantiene invariable en cada repetición.
3.Las repeticiones son independientes para cada una de las repeticiones.
4.Los valores que toma la variable aleatoria son iguales al número de repeticiones que se requieren en el experimento hasta lograr que el primer "éxito" ocurra.
La fórmula de la distribución de probabilidad de una variable aleatoria Geométrica está dada por:

x: valor que toma la variable aleatoria hasta lograr que el primer "éxito" ocurra.
p: probabilidad de ocurrencia del "éxito".
La media o valor esperado de esta distribución de probabilidad está dada por:

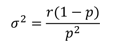
La varianza de esta distribución de probabilidad está dada por:

Distribución de Probabilidad Binomial Negativa.
Una distribución de probabilidad Binomial Negativa presenta las siguientes características:
1.Sólo existen dos posibles resultados mutuamente excluyentes: "éxito" o "fracaso"
2.La probabilidad de éxito (p) se mantiene invariable en cada repetición.
3.Las repeticiones son independientes para cada una de las repeticiones.
4.Los valores que toma la variable aleatoria representa el número de repeticiones que se requieren en el experimento hasta lograr que el r-ésimo "éxito" ocurra.
La fórmula de la distribución de probabilidad de una variable aleatoria Binomial Negativa está dada por:

x: representa el número de repeticiones que se requieren en el experimento hasta lograr que el r-ésimo "éxito" ocurra. p: probabilidad de ocurrencia del "éxito".
La media o valor esperado de esta distribución de probabilidad está dada por:

La varianza de esta distribución de probabilidad está dada por:

Una distribución de probabilidad Hipergeométrica presenta las siguientes características:
1.Sólo existen dos posibles resultados mutuamente excluyentes: "éxito" o "fracaso"
2.La variable aleatoria representa el número de éxitos en una cantidad fija (n) de repeticiones.
3.El muestreo se realiza de una población finita sin reemplazo, además n/N > 0.05
4.Las repeticiones no son independientes entre ellas.
La fórmula de la distribución de probabilidad de una variable aleatoria Hipergeométrica está dada por:

N: tamaño de la población n: tamaño de la muestra o número fijo de repeticiones.
X: número de éxitos en la población.
x: valor que toma la variable aleatoria y que corresponde al número de "éxitos" que ocurren en la muestra.
Distribución de Probabilidad Poisson.
Una distribución de probabilidad Poisson describe el número de veces que se presenta un evento durante un intervalo específico el mismo que puede ser de tiempo, distancia, área o volumen, y que además presenta las siguientes características:
1.La variable aleatoria representa el número de veces que ocurre un evento durante un intervalo definido.
2.La probabilidad de ocurrencia del evento es proporcional al intervalo.
3.Los intervalos no se traslapan y además son independientes.
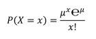
La fórmula de la distribución de probabilidad de una variable aleatoria Poisson está dada por:

µ: es la media de la cantidad de veces que se presenta un evento en un intervalo particular.
e: constante 2.71828
x: número de veces que se presenta un evento.
La media o valor esperado al igual que la varianza de esta distribución de probabilidad está dada por:

Espero que estas definiciones sean de ayuda, si necesitas reforzar conocimientos puedes comunicarte al 0980700611 (llamadas o WhatsApp) y con gusto coordinaremos una clase. En nuestra página de descargas encontrarás una versión imprimible de este post.
