Es muy habitual que nos cuenten la milonga de que la Variable Compleja es lo mismo que si trabajásemos con dos variables reales. Pero después, resulta que hay una asignatura (bueno, en Matemáticas hay más de una) que se centra única y exclusivamente en funciones complejas. ¿Por qué? Si en fuese como dos variables reales, estudiando éstas, ¿para qué las segundas?
Pues es que resulta que la variable compleja es diferente. En las siguientes líneas vamos a esbozar la diferencia fundamental que hay entre ellas y de la cual no fui realmente consciente hasta que no tuve que dar clases de Variable compleja para físicos.
Comencemos con
. Este cuerpo es, en realidad una forma diferente de ver el plano
, pues un número complejo
se puede escribir como
donde
y el símbolo
representa la unidad imaginaria compleja (es decir,
). Así, nuestro complejo
se puede representar por el punto del plano de coordenadas cartesianas
(esta representación geométrica del número complejo se la denomina afijo de
). La única diferencia entre
y
es que en el último tenemos definida una operación producto
un poco rara a priori, pero muy efectiva, ya que convierte a
en un cuerpo.Con este mínimo background sobre números complejos, basta y sobra para lo que viene ahora.Cuando entramos en una clase de cálculo diferencial de varias variables, casi siempre nos dicen que los temas de continuidad de funciones son idénticos a los de una variable real (y no se está falto de razón). Ahora bien, la cosa cambia cuando estudiamos la diferenciabilidad.
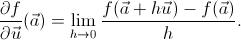
Vamos a centrarnos es funciones
. Ahora, en lugar de una única derivada, aparecen dos derivadas parciales y, si nos extendemos un poco, conseguimos infinitas derivadas direccionales. ¿Qué era esto, pues muy sencillo. Fijo una dirección, es decir, un vector
en el que me voy a mover, y aplico la definición de derivada como límite de incrementos finitos... en esa precisa dirección. Más concretamente, si
, entonces
Por cierto, si
tenemos la parcial respecto de
y para
, la parcial respecto de
. Pero claro, ninguna de estas derivadas garantizan que su existencia implique la continuidad de la función. Para ello, tenemos que acudir a un nuevo concepto, el de función diferenciable.Una función
es diferenciable en un punto
cuando existe el vector gradiente
y, además, el siguiente límite doble vale 0:
. (1)Lo único que tenemos que recordar es que el símbolo
es el módulo o norma del vector
, es decir,
.Vale, todo esto con respecto a varias variables reales. A partir de aquí, casi todo funciona igual que en una variable, con la salvedad que hay muchas derivadas parciales. tenemos fórmulas de Taylor, tenemos funciones difrenciables 1 vez pero no 2, 3 veces pero no 4, etc... Pero ¿qué ocurre con la variable compleja?
Una función de variable compleja es
o dicho de otro modo, una función
, donde
, siendo
, entonces
luego
puede verse como 2 funciones de 2 variables (su parte real
y su parte imaginaria
).Desde el punto de vista de 2 variables, ¿qué significa que
es diferenciable? pues que tanto
como
lo son en el sentido anterior (el del límite doble).Pero desde el punto de vista de la variable compleja, simplemente puedo plantear la siguiente definición. Una función
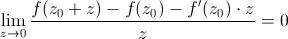
es derivable en
cuando exista un número
de forma que
(2)¿Qué diferencia hay entre el límite (1) y este último límite (2)? Pues hay una diferencia fundamental y la que hace que la variable compleja no se comporte como 2 variables reales.
En el límite (2), gracias a que
es un cuerpo, es posible dividir entre el número complejo
, es decir, es posible dividir entre el vector de
. Sin embargo, en el límite (1), estamos considerando
(sin ese producto raro, luego ya no es cuerpo), por lo tanto ya no se puede dividir entre
y, como mucho, puedo dividir entre su módulo
.Esta sutil diferencia, que puede parecer una solemne tontería, es , precisamente, la que provoca que la variable compleja sea tan diferente de las 2 variables reales. Tanto, que en variable compleja si una función es derivable 1 vez... lo es infinitas veces.
Bueno, creo que por hoy ya es bastante. Mi intención era compartir algo que descubrí bastante tarde. Me he llevado muchos años estudiando y trabajando sobre la variable compleja, asumiendo las grandes diferencias que tenía con las 2 variables reales, pero sin llegar al fondo del asunto. Posiblemente, con esto tampoco llegue al fondo, pero por el momento, es hasta donde yo he llegado. Sólo espero que a alguien más le sirva esta reflexión.
Si has llegado hasta aquí: enhorabuena campeón: tú sí que eres complejo.
Tito Eliatron Dixit
Si te ha gustado esta entrada, puedes dejar un comentario directamente en Tito Eliatron Dixit.
