Aprenderemos a resolver ecuaciones de primer grado con una incógnita: sencillas, con paréntesis, con denominadores y con ambos a la vez.
- Introducción: Concepto de ecuación
- Ecuaciones equivalentes
- Regla de la suma y regla del producto
- Ecuaciones de primer grado sin paréntesis ni denominadores
- ¿Qué ocurre si al resolver una ecuación obtenemos 0=0?
- ¿Qué ocurre si al resolver una ecuación obtenemos que 0 es igual a un número distinto de 0?
- Ecuaciones de primer grado con paréntesis
- Ecuaciones de primer grado con denominadores
- Ecuaciones de primer grado con paréntesis y denominadores
- Algunos ejemplos más de resolución de ecuaciones de primer grado
Introducción: Concepto de ecuación
Antes de empezar con la resolución de ecuaciones de primer grado propiamente dicha, vamos a ver un poco qué es una ecuación.
Una ecuación es una igualdad algebraica que se cumple solamente para determinados valores de las variables o incógnitas (las letras). Por ejemplo, la siguiente igualdad algebraica es una ecuación:
7x – 3 = 3x + 9
Los valores de las variables o incógnitas (letras) que hacen que se verifique la igualdad son lo que denominamos soluciones de la ecuación. Así, en el ejemplo anterior, x=3 sería una solución, ya que hace que se verifique la igualdad al sustituir x por 3:
7·3 – 3 = 3·3 + 9
21 – 3 = 9 + 9
18 = 18
Por lo tanto, resolver una ecuación no es otra cosa que encontrar el valor o los valores que ha de tomar la variable o incógnita para que se cumpla la igualdad.
Por otra parte, el grado de una ecuación es el mayor grado de los monomios que contiene. El grado de un monomio viene dado por la suma de los exponentes que tienen las variables (letras) en dicho monomio
En nuestro ejemplo la ecuación es de primer grado, ya que el mayor grado de los monomios que contiene la ecuación es 1 (es el mayor exponente que tiene la x en nuestra ecuación ejemplo).
Este tipo de ecuaciones, las de primer grado, son precisamente las que vamos a trabajar en esta entrada.
He comenzado diciendo que una ecuación es una igualdad algebraica, eso quiere decir que tiene un signo «=», y una expresión a cada lado del mismo.
A las expresiones que quedan a cada lado del signo «=» se las denomina miembros de la ecuación. Para distinguirlos, se suele llamar primer miembro al que está a la izquierda del «=», y segundo miembro al que está a la derecha (también se les puede llamar perfectamente «miembro de la izquierda» y «miembro de la derecha», que al fin y al cabo es lo que son).
A cada uno de los monomios que forman parte de la ecuación se les denomina términos.
En nuestro ejemplo:

En este otro ejemplo:

Conocida ya la terminología con la que vamos a trabajar, y antes de empezar con la resolución de ecuaciones de primer grado propiamente dicha, vamos a ver a continuación el concepto de ecuaciones equivalentes, ya que nos vamos a basar en él para resolverlas.
Ecuaciones equivalentes
Dos ecuaciones son equivalentes si tienen las mismas soluciones.
Por ejemplo, las siguientes dos ecuaciones son equivalentes, ya que en ambas la solución es x=2:

Pues bien, el hecho de que dos ecuaciones equivalentes tengan la misma solución es precisamente lo que vamos a utilizar para resolver ecuaciones de primer grado.
Lo que haremos será ir transformando la ecuación que tengamos en otra equivalente más sencilla en la que estemos más cerca de saber cuál es la solución de la ecuación, así hasta que lleguemos finalmente a una ecuación equivalente a las anteriores que nos indique directamente cuál es el valor de la solución.
¿Y cómo podemos obtener ecuaciones equivalentes?
Utilizando dos herramientas matemáticas que vamos a ver a continuación: la regla de la suma y la regla del producto.
Regla de la suma y regla del producto
Para entender estas dos reglas vamos a hacer una analogía entre una ecuación y una balanza en equilibrio.
Regla de la suma
Si en una balanza que está en equilibrio añadimos o quitamos el mismo peso en ambos platillos, la balanza sigue en equilibrio.


Análogamente, si en una ecuación se suma o se resta el mismo número o la misma expresión algebraica en los dos miembros, se obtiene una ecuación equivalente. Esto es lo que se conoce como regla de la suma.
Por ejemplo, en la ecuación:
3x + 3 = 9
Si queremos, por ejemplo, que el 3 desaparezca del primer miembro de la ecuación, podemos restar 3 en ambos miembros, de manera que conseguimos que al operar ya no esté en el primer miembro y, sin embargo, aparezca ahora cambiado de signo en el segundo miembro de la ecuación:
3x + 3 – 3 = 9 – 3
3x = 9 – 3
Y, si después operamos en el segundo miembro, tenemos:
3x = 6
Veamos otro ejemplo. En esta otra ecuación:
5x = 8 – 3x
Si queremos, por ejemplo, que el término – 3x desaparezca del segundo miembro de la ecuación, podemos sumar 3x en ambos miembros, de forma que conseguimos que al operar ya no esté en el segundo miembro y, sin embargo, aparezca ahora cambiado de signo en el primer miembro de la ecuación:
5x + 3x = 8 – 3x + 3x
5x + 3x = 8
Y, si operamos ahora en el primer miembro, tenemos:
8x = 8
Si nos fijamos en lo que ha ocurrido en los dos ejemplos que hemos visto al aplicar la regla de la suma, podemos volver a formular dicha regla de otra manera, que es la que habitualmente su utiliza en la resolución de ecuaciones, y que será la que utilice en los ejemplos que veremos más adelante (eso sí, sabiendo en todo momento que es una consecuencia de aplicar la regla de la suma):
En una ecuación, podemos pasar un término que esté en uno de los miembros de la ecuación al otro miembro cambiándole el signo. Es decir, lo que está sumando en un miembro de la ecuación pasa restando al otro miembro, y lo que está restando en un miembro de la ecuación pasa sumando al otro miembro.
El primer ejemplo de los que habíamos visto sería, al aplicar directamente esta regla:
3x + 3 = 9
El 3 que está en el primer miembro sumando, pasa al segundo miembro restando:
3x = 9 – 3
3x = 6
Y, en el segundo ejemplo:
5x = 8 – 3x
El término 3x que está en el segundo miembro restando, pasa al primer miembro sumando:
5x + 3x = 8
8x = 8
Regla del producto
Si en una balanza que está en equilibrio multiplicamos o dividimos el peso que hay en ambos platillos en la misma proporción, la balanza sigue en equilibrio.


Análogamente, si en una ecuación se multiplican o se dividen los dos miembros de la misma entre un mismo número (distinto de cero) o una misma expresión algebraica, se obtiene una ecuación equivalente. Esto es lo que se conoce como regla del producto.
Por ejemplo, en la ecuación:
3x = 10
Si queremos que x quede despejada en el primer miembro de la ecuación, es decir, que ya no esté multiplicada por 3, podemos dividir entre 3 en ambos miembros, de manera que conseguimos que, al operar, el 3 ya no esté multiplicando a la x en el primer miembro y, sin embargo, aparezca ahora dividiendo en el segundo miembro de la ecuación:

Veamos otro ejemplo. En esta otra ecuación:
-5x = 15
Si queremos que x quede despejada en el primer miembro de la ecuación, es decir, que ya no esté multiplicada por -5, podemos dividir entre -5 en ambos miembros, de manera que conseguimos que, al operar, el -5 ya no esté multiplicando a la x en el primer miembro y, sin embargo, aparezca ahora dividiendo en el segundo miembro de la ecuación:

Y, si operamos ahora en el segundo miembro, tenemos:
x = -3
Si nos fijamos en lo que ha ocurrido en los dos ejemplos que hemos visto al aplicar la regla del producto, podemos volver a formular dicha regla de otra manera, que es la que habitualmente su utiliza en la resolución de ecuaciones, y que será la que utilice en los ejemplos que veremos más adelante (eso sí, sabiendo en todo momento que es una consecuencia de aplicar la regla del producto):
En una ecuación, un número o una expresión algebraica que esté multiplicando a todo un miembro de la ecuación podemos pasarlo dividiendo a todo el otro miembro.
Y al revés, un número o una expresión algebraica que esté dividiendo a todo un miembro de la ecuación podemos pasarlo multiplicando a todo el otro miembro.
Es decir, lo que está multiplicando a todo un miembro de la ecuación pasa dividiendo a todo el otro miembro, y lo que está dividiendo a todo un miembro de la ecuación pasa multiplicando a todo el otro miembro.
El primer ejemplo de los que habíamos visto sería, al aplicar directamente esta regla:
3x = 10
El 3 que está multiplicando a x en el primer miembro de la ecuación, pasa al segundo miembro dividiendo:

En el segundo ejemplo:
-5x = 15
El -5 que está multiplicando a x en el primer miembro de la ecuación, pasa al segundo miembro dividiendo:

Y, operando en el segundo miembro:
x = -3
MUY IMPORTANTE: Cuando aplicamos la regla del producto (nosotros en su versión simplificada), lo que está multiplicando a la x pasa dividiendo a todo el otro miembro CON EL MISMO SIGNO QUE TENÍA. En ningún momento se le cambia el signo, como sí ocurría al aplicar la regla de la suma.
Ecuaciones de primer grado sin paréntesis ni denominadores
Conocidas ya las herramientas que vamos a utilizar, empecemos por las ecuaciones de primer grado más sencillas que nos podemos encontrar, aquellas que no tienen ni paréntesis ni denominadores.
Como ya comenté cuando hablé de las ecuaciones equivalentes, lo que vamos a hacer es ir transformando la ecuación que tengamos en otra equivalente más sencilla hasta que lleguemos finalmente a una ecuación equivalente que nos dé directamente la solución.
Aunque podríamos hacerlo en otro orden y llegar igualmente a la solución de la ecuación, vamos a seguir los siguientes pasos en la resolución de ecuaciones de primer grado:
1. Aplicamos la regla de la suma (nosotros lo haremos en su versión simplificada) para pasar todos los términos con x a un miembro (por ejemplo al primer miembro), y todos los números (términos sin x) al otro miembro (por ejemplo al segundo miembro).
Ejemplo:
3x – 7 = 1 + x
El 7 que está en el primer miembro restando (- 7) pasa al segundo miembro sumando (+ 7), y la x que está en el segundo miembro sumando (+ x) pasa al primer miembro restando (– x):
3x – x = 1 + 7
MUY IMPORTANTE: Solo cambiaremos el signo de un término cuando lo hayamos pasado de un miembro de la ecuación a otro. Si sigue estando en el mismo miembro de la ecuación y simplemente ocupa otra posición, NO se le cambia el signo.
2. Una vez que tenemos todos los términos con x en un miembro de la ecuación, y todos los términos sin x en el otro miembro, simplificamos operando con términos semejantes en cada miembro de la ecuación.
2x = 8
3. Si el término con x tiene un coeficiente (lo que está multiplicando a la x) distinto de 1, aplicamos la regla del producto (nosotros lo haremos en su versión simplificada) para despejar la x.
En nuestro ejemplo, el 2 que está multiplicando a la x pasa dividiendo a todo el otro miembro:

x = 4
IMPORTANTE: Si el término con x que hemos obtenido es –x, su coeficiente es -1, por lo que, al aplicar la regla del producto para despejar x, el menos desaparece de la x y -1 pasa dividiendo al otro miembro de la ecuación. Este paso equivale a cambiar de signo ambos miembros de la ecuación. Por ejemplo:
–x = 7

x = -7
Vamos a ver un par de ejemplos más.
Resuelve la siguiente ecuación:
2x + 9 = 4x + 3
Aplicamos la regla de la suma para pasar todos los términos con x al primer miembro, y todos los términos sin x al segundo miembro:
2x – 4x = 3 – 9
(Observa que los términos 2x y 3 no han cambiado de signo, ya que siguen cada uno en el miembro de la ecuación en el que estaban).
Simplificamos operando en cada miembro de la ecuación términos semejantes:
-2x = -6
Ahora aplicamos la regla del producto para despejar x:

x = 3
Resuelve la siguiente ecuación:
5x – 1 = –x + 5 + 4x
Pasamos los términos con x al primer miembro y los términos sin x al segundo miembro, cambiándoles el signo al hacerlo:
5x + x – 4x= 5 + 1
Simplificamos operando con términos semejantes en cada miembro de la ecuación:
2x = 6
Despejamos x, pasando el 2 que está multiplicando a la x dividiendo a todo el otro miembro de la ecuación:

x = 3
¿Qué ocurre si al resolver una ecuación obtenemos 0=0?
Al resolver una ecuación puede ocurrir que, al simplificar términos semejantes en cada uno de los miembros, se anulen todos entre sí y obtengamos 0=0.
En este caso habría infinitas soluciones posibles, es decir, cualquier valor que demos a la incógnita x hace que se cumpla la igualdad (0=0 se cumple siempre).
Lo que tenemos realmente no es una ecuación, sino una identidad: expresión algebraica que se verifica siempre para cualquier valor de las variables o incógnitas (de las letras).
Por ejemplo:
3x + 5 = –x + 5 + 4x
Pasamos los términos con x al primer miembro y los términos sin x al segundo miembro, cambiándoles el signo al hacerlo:
3x + x – 4x = 5 – 5
Simplificamos operando en cada miembro de la ecuación términos semejantes, y obtenemos:
0 = 0
Tiene infinitas soluciones, y se trata de una identidad.
¿Qué ocurre si al resolver una ecuación obtenemos que 0 es igual a un número distinto de 0?
Cuando resolvemos una ecuación, también puede ocurrir que, al simplificar términos semejantes en cada uno de los miembros de la ecuación, se anulen los términos con x entre sí, pero no lo hagan los términos sin x, obteniendo que 0 es igual a un número distinto de 0, como por ejemplo 0=5.
Obviamente dicha igualdad no es cierta (cero no es igual que cinco) y, en ese caso, la ecuación no tiene solución, ya que no hay ningún valor de la variable x que haga que se cumpla la igualdad.
Por ejemplo:
2x + 3 = 1 + 2x – 5
Pasamos los términos con x al primer miembro y los términos sin x al segundo miembro, cambiándoles el signo al hacerlo:
2x – 2x = 1 – 5 – 3
Simplificamos operando en cada miembro de la ecuación términos semejantes, y obtenemos:
0 = -7
La ecuación no tiene solución.
Ecuaciones de primer grado con paréntesis
Para resolver una ecuación de primer grado en la que aparezcan paréntesis, tenemos que empezar eliminando dichos paréntesis. Para hacerlo aplicamos la propiedad distributiva, multiplicando el número que está fuera del paréntesis por cada uno de los términos que están dentro del mismo, y realizando correctamente la regla de signos al hacerlo.
Una vez eliminados los paréntesis, tenemos ya una ecuación como las que hemos estado trabajando antes, y continuamos como hemos visto hasta resolverla.
Por ejemplo, resuelve la siguiente ecuación:
8 – 2(3x – 3) = x
Eliminamos primero el paréntesis aplicando la propiedad distributiva:
8 – 6x + 6 = x
Y continuamos resolviendo la ecuación.
Aplicando la regla de la suma, pasamos los términos con x al primer miembro de la ecuación, y los términos sin x al segundo miembro:
-6x – x = -8 – 6
Simplificamos los términos semejantes en cada miembro:
-7x = -14
Y aplicamos la regla del producto para despejar x:

x = 2
IMPORTANTE: Cuando tenemos un «-» delante de un paréntesis, equivale a que todo lo que está dentro del paréntesis esté multiplicado por -1, por lo que se elimina el signo menos junto con el paréntesis y se cambia el signo a cada uno de los términos que estaban dentro del paréntesis.
Vemos otro ejemplo en el que, para eliminar los paréntesis, haya que aplicar la propiedad distributiva y también esto último que he comentado.
Resuelve la siguiente ecuación:
6(2 – x) + 4 = 1 – (x – 3)
Eliminamos primero los paréntesis, aplicando la propiedad distributiva en el primer miembro, y cambiando el signo a cada uno de los términos que están dentro del paréntesis en el segundo miembro:
12 – 6x + 4 = 1 – x + 3
Ahora, aplicando la regla de la suma, pasamos los términos con x al primer miembro de la ecuación, y los términos sin x al segundo miembro:
-6x + x =1 + 3 – 12 – 4
Simplificamos los términos semejantes en cada miembro:
-5x = – 12
Y aplicamos la regla del producto para despejar x:

Aplicando la regla de signos:

Ecuaciones de primer grado con denominadores
Para resolver una ecuación de primer grado en la que aparezcan denominadores, hay que empezar eliminando dichos denominadores.
Para ello, en primer lugar, ponemos todos los términos de la ecuación con mínimo común denominador (el mínimo común múltiplo de todos los denominadores), y una vez que tengamos ya todos los denominadores iguales, aplicando la regla del producto, podemos eliminarlos directamente, quedándonos ya una ecuación sin denominadores que podemos continuar resolviendo como hemos visto.
Por ejemplo, para resolver la siguiente ecuación:

El m.c.m.(2, 3)=6, así que ponemos todos los términos de la ecuación con mínimo común denominador 6:

Eliminamos los denominadores (consecuencia de aplicar la regla del producto, ya que si multiplicásemos en ambos miembros de la ecuación por 6 se simplificarían, desapareciendo):
3(x + 3) = x – 5
Aplicamos la propiedad distributiva para eliminar el paréntesis en el primer miembro:
3x + 9 = x – 5
Pasamos los términos con x al primer miembro, y los términos sin x al segundo miembro:
3x – x = -5 – 9
Simplificamos términos semejantes en cada miembro:
2x = -14
Y, por último, aplicando la regla del producto, despejamos x:

x = -7
Veamos otro ejemplo.
Resuelve la siguiente ecuación:

CONSEJO: Cuando en una ecuación con denominadores haya términos que aparezcan sin denominador, es aconsejable ponerles de denominador 1 para evitar cometer el error de no tenerlos en cuenta al hacer mínimo común denominador. En nuestro caso, quedaría:

Ponemos todas las fracciones con mínimo común denominador, utilizando el m.c.m. de 4, 6 y 1, que es 12:

Eliminamos los denominadores (consecuencia de aplicar la regla del producto, ya que si multiplicásemos en ambos miembros de la ecuación por 12 se simplificarían, desapareciendo):
3(x – 1) + 2(2x + 3) = 12(x – 1)
Eliminamos los paréntesis aplicando la propiedad distributiva:
3x – 3 + 4x + 6 = 12x – 12
Pasamos los términos con x al primer miembro, y los términos sin x al segundo miembro:
3x + 4x – 12x = -12 + 3 – 6
Simplificamos términos semejantes en cada miembro:
-5x = -15
Y, por último, aplicando la regla del producto, despejamos x:

x = -3
Vemos otro ejemplo más, que además me servirá para explicar una cosa con la que hay que tener mucho cuidado y que es un error clásico en este tipo de ecuaciones con denominadores.
Resuelve la siguiente ecuación:

Ponemos todas las fracciones con mínimo común denominador, utilizando el m.c.m. de 6, 3 y 4, que es 12:

Eliminamos los denominadores (consecuencia de aplicar la regla del producto, ya que si multiplicásemos en ambos miembros de la ecuación por 12 se simplificarían, desapareciendo):
2(x +1) – 4(x – 4) = 3·9
MUY IMPORTANTE: Hay que tener mucho cuidado cuando alguno de los términos en forma de fracción tiene un «-» delante ya que, al quitar los denominadores, ese «-» afecta a todo el numerador de la fracción y, por lo tanto cambia el signo de todos los términos que tenga éste.
Si quitamos los denominadores antes de aplicar la propiedad distributiva para eliminar los paréntesis, como he hecho yo en este ejemplo, es más difícil que cometamos algún error (siempre y cuando utilicemos correctamente la regla de signos al aplicar la propiedad distributiva).
2x + 2 – 4x + 16 = 27
Sin embargo, si optamos por eliminar los paréntesis aplicando la propiedad distributiva antes de quitar los denominadores, que también se puede hacer así, tenemos:

al quitar ahora los denominadores podemos cometer el «clásico» error de no afectar a todo el numerador con el «-«:
ASÍ ESTARÍA MAL: 2x + 2 – 4x – 16 = 27
LO CORRECTO ES: 2x + 2 – 4x + 16 = 27
Después de este inciso importante, continuamos resolviendo nuestra ecuación. Pasando los términos con x al primer miembro, y los términos sin x al segundo miembro, tenemos:
2x – 4x = 27 – 2 – 16
Simplificamos términos semejantes en cada miembro:
-2x = 9
Y finalmente despejamos x. aplicando la regla del producto:

que, como no se suele dejar el denominador negativo, se puede expresar como:

Ecuaciones de primer grado con paréntesis y denominadores
En este caso, dependiendo de la expresión que tenga la ecuación, nos puede interesar empezar eliminado los paréntesis primero aplicando la propiedad distributiva, o empezar haciendo denominador común y eliminar los denominadores antes de eliminar los paréntesis.
¿Cuándo puede ser más conveniente hacer una cosa u otra?
Cuando los paréntesis contengan términos con denominadores, es preferible eliminar primero los paréntesis aplicando la propiedad distributiva.
Por ejemplo:
Resolver la ecuación:

Aplicamos primero la propiedad distributiva para eliminar el paréntesis en el primer miembro:

Ponemos el término que no tiene denominador con denominador 1 para evitar errores:

Hacemos mínimo común denominador, utilizando el m.c.m. de 2, 1 y 3, que es 6:


Eliminamos los denominadores (consecuencia de aplicar la regla del producto, ya que si multiplicásemos en ambos miembros de la ecuación por 6 se simplificarían, desapareciendo):
9x – 18 = 8x
Pasamos los términos con x al primer miembro, y los términos sin x al segundo miembro:
9x – 8x = 18
Y simplificando términos semejantes en el primer miembro, obtenemos directamente la solución de la ecuación:
x = 18
Cuando los paréntesis contengan términos sin denominadores, puede ser preferible eliminar primero los denominadores haciendo previamente denominador común, y después ya eliminar los paréntesis aplicando la propiedad distributiva, aunque si queremos podemos también hacerlo como en el ejemplo anterior.
Por ejemplo:
Resolver la ecuación:

Ponemos el término que no tiene denominador con denominador 1 para evitar errores:

Hacemos mínimo común denominador, utilizando el m.c.m. de 3, 1 y 2, que es 6:

Eliminamos los denominadores (consecuencia de aplicar la regla del producto, ya que si multiplicásemos en ambos miembros de la ecuación por 6 se simplificarían, desapareciendo):
2·x – 12(x + 3) = 3(3 – x) – 3·1
Eliminamos los paréntesis aplicando la propiedad distributiva:
2x – 12x – 36 = 9 – 3x – 3
Pasamos los términos con x al primer miembro, y los términos sin x al segundo miembro:
2x – 12x + 3x = 9 – 3 + 36
Simplificamos términos semejantes en cada miembro:
-7x = 42
Y, por último, aplicamos la regla del producto, para despejar x:

x = -6
Pues ya hemos visto lo necesario para resolver ecuaciones de primer grado.
Espero que haya quedado todo bastante claro. Aunque esto, como casi todo, es cuestión de entenderlo bien y de práctica.
IMPORTANTE: Siempre podemos comprobar la solución de la ecuación que hayamos obtenido, simplemente sustituyendo en la ecuación inicial la x por el valor de la solución y comprobando que efectivamente se cumple la igualdad.
Para terminar, y como refuerzo de lo visto, os dejo más ejemplos resueltos, esta vez sin tanta explicación, aunque sí hechos paso a paso como los que hemos visto.
Algunos ejemplos más de resolución de ecuaciones de primer grado
1. Resuelve la siguiente ecuación:
4 – 6x = 3x – 5
-6x – 3x = -5 – 4
-9x = -9

x = 1
2. Resuelve la siguiente ecuación:
7x – 5 = x + 4 + 6x
7x – x – 6x = 4 + 5
0 = 9
La ecuación no tiene solución.
3. Resuelve la siguiente ecuación:
3(3x – 5) + 3(2x – 6) = 42
9x – 15 + 6x – 18 = 42
9x + 6x = 42 + 15 + 18
15x = 75

x = 5
4. Resuelve la siguiente ecuación:
2(-3x + 3) – 3(x + 5) = x + 11
-6x + 6 – 3x – 15 = x + 11
-6x – 3x – x = 11 – 6 + 15
-10x = 20

x = -2
5. Resuelve la siguiente ecuación:
-(-2x – 1) – (x + 3) = x + 16
2x +1 – x – 3 = x + 16
2x – x – x = 16 – 1 + 3
0 = 18
La ecuación no tiene solución.
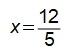
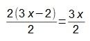
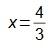
6. Resuelve la siguiente ecuación:



2(3x – 2) = 3x
6x – 4 = 3x
6x – 3x = 4
3x = 4

7. Resuelve la siguiente ecuación:


4(x – 3) – (x – 1) = 1
4x – 12 – x + 1 = 1
4x – x = 1 + 12 – 1
3x = 12

x = 4
8. Resuelve la siguiente ecuación:


12(3x – 1) + 3(5x – 6) = 2·138
36x – 12 + 15x – 18 = 276
36x + 15x = 276 + 12 +18
51x = 306

x = 6
9. Resuelve la siguiente ecuación:



5(2x – 1) – (x + 4) = 3·2
10x – 5 – x – 4 = 6
10x – x = 6 + 5 + 4
9x = 15

10. Resuelve la siguiente ecuación:



3(2x – 8) – 8(6 – 4x) = 2·5
6x – 24 – 48 + 32x = 10
6x + 32x = 10 + 24 + 48
38x = 82

11. Resuelve la siguiente ecuación:



3(3x + 9) – x = -69
9x + 27 – x = -69
9x – x = -69 – 27
8x = -96

x = -12
12. Resuelve la siguiente ecuación:



-8(2x – 1) + 3x + 1 = 2(-5x – 3)
-16x + 8 + 3x + 1 = -10x – 6
-16x + 3x + 10x = -6 – 8 – 1
-3x = -15

x = 5
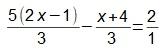
13. Resuelve la siguiente ecuación:



6(2x – 5) + 2(8x – 6) = x – 2(5x + 3)
12x – 30 + 16x – 12 = x – 10x – 6
12x + 16x – x + 10x = -6 +30 + 12
37x = 36

14. Resuelve la siguiente ecuación:





4x – 2 – 12(x + 1) = 8x + 2
4x – 2 – 12x – 12 = 8x + 2
4x – 12x – 8x = 2 + 2 + 12
-16x = 16

x = -1
¿Te ha gustado? No te pierdas ninguna entrada del blog y suscríbete a los avisos por correo electrónico. Sabrás al instante cuándo se ha publicado una entrada nueva.
Únete a otros 4.129 suscriptores
Dirección de correo electrónico
