No recuerdo cómo fue mi iniciación en el mundo de las fracciones. Tal vez cómo la mayoría, con el famoso pastel de turno poco antes de comer. ¡Qué hambre!
Es indudable que a muchos estudiantes los quebrados les dan auténticos quebraderos de cabeza.
Seguramente habrás oído frases como estas varias veces:
Falta un cuarto de hora para las tres de la tarde. 9 de cada 10 niños están escolarizados. Las siete décimas partes del planeta Tierra son agua. Son formas de expresar cantidades que están relacionadas entre sí. Sí, las matemáticas están en todas partes.
Es importante que veas a la fracción como parte de un todo, como la porción de un queso o de una tableta de chocolate.
¿Qué significa fracción?
El nombre de fracción se lo debemos en parte a Juan de Luna, que lo tradujo del latín en el siglo XII, del libro de aritmética de Al-Juarismi. Aquel utilizó la palabra “fractio” para traducir la palabra árabe “al-Kasr”, que significa quebrar, romper.
Por este motivo las fracciones también se conocen con el nombre de “quebrados”.
El origen de las fracciones
Al igual que otros conceptos matemáticos a lo largo de la historia, el origen de las fracciones es debido a una necesidad. En este caso a la necesidad de repartir.
Parece mentira, pero su uso se remonta casi 4.000 años. En las culturas babilonias (hacia 1.800 a.C) ya se usaban fracciones. Pero fueron los egipcios los verdaderos impulsores del uso de fracciones.
Los egipcios resolvían problemas de su vida diaria mediante operaciones con fracciones. Como la distribución del pan, el sistema de construcción de las pirámides y algunas medidas utilizadas para dividir los campos. No me invento nada! Todo esto se ha podido comprobar en inscripciones antiguas como el Papiro de Ahmes. Después fueron los hindúes los que establecieron las reglas de las operaciones con fracciones en el siglo VI d.C.
En Europa, tuvo que ser Fibonacci (otra vez) el que popularizó la notación de fracciones con barra. Aunque fue a partir del año 1700 cuando se hizo un uso generalizado de la línea fraccionaria que usamos hoy.
¿Cómo somos?
Siempre tenemos la forma de un número entero “encima” de otro número entero. Parece sencillo, ¿verdad? Al número de la parte superior se le llama “numerador” porque numera, nos dice cuantas partes del todo hay. Al número de la parte inferior se le llama “denominador” porque nos dice cuantas partes componen el todo (denominación de origen, jeje)
Puedes pensar en porciones de un queso. Simplemente es la relación que existe entre una parte y el todo. En la notación establecida, una fracción siempre aparece así:

No nos gustan los factores comunes
Las fracciones detestamos los factores comunes. Nos gusta ser irreducibles y no depender de números “dependientes” entre ellos.
Me explico. Que narices pinto llamándome 8/10 pudiéndome llamar 4/5. Por favor, redúceme a la mínima expresión, por el bien de los números, por nuestra integridad y reputación.

Aquí los doses se repiten, esán arriba y abajo, … fuera de mi territorio!
Las cosas cuanto más sencillas mejor. Además tienen el mismo valor.
Fracciones impropias
Son un poco frikis al tener el numerador más grande que el denominador, como 17/5. Al dividir 17 entre 5, obtenemos 3 y nos sobran 2. Esto puede escribirse como el número mixto 3 2/5. Es decir la suma del número natural 3 y la fracción propia 2/5.
Números racionales
Las fracciones son “números racionales” porque son razones entre dos números. Se llamaron números racionales porque eran los números que los griegos podían “medir”. El término “racional” hace referencia a una fracción o parte de un todo. Al conjunto de todo los números racionales se le denota por Q que deriva de “cociente” (Quotient en algunos idiomas europeos).
Nos multiplican fácilmente
Es curioso que resulte más fácil multiplicar fracciones que sumarlas. La multiplicación de números enteros es problemática y hubo que inventar maneras ingeniosas para poder realizarla. Para multiplicar fracciones sólo es necesario multiplicar numeradores y denominadores de forma independiente.

Pero sumar dos fracciones tiene su miga. Con la suma 1/4 + 3 /4 no hay problema al ser los denominadores iguales. Sólo tendrás que sumar los numeradores para obtener 4/4=1
¿Cómo podemos calcular 2/3 + 4/5? Primero es imprescindible expresar cada fracción de tal forma que tengan el mismo denominador.

Conversión a decimales
En el mundo de la ciencia, los decimales son la forma preferida para expresar las fracciones. Cuando el denominador es 10 (hay que buscarlo), las fracciones son fáciles de convertir.
Por ejemplo: 4/5= 8/10 = 0’8
Habrás observado que 4 quintos y 8 décimos son fracciones equivalentes. Valen lo mismo, al igual que estas expresiones:

Para las otras fracciones el proceso es bastante más laborioso. Por ejemplo, ¿cómo puedes convertir por ejemplo, 7/8 a forma decimal? Con la calculadora en un plis. Cómo el 7 “no cabe” en el 8, tienes que multiplicar por 10 el numerador, dividir y seguir el proceso hasta obtener un número finito, es decir, hasta quedarte sin ningún resto. Decimos que siete octavos es un decimal finito.
7/8= 0’875
Hay otras fracciones que “invocan” al infinito. Por ejemplo, 1/3 es una simple fracción. Pero si intentas hacer la división verás que no tiene fin. En este caso obtendrás infinitas cifras repetidas, que se les llama periódicas. Por este motivo expresar un número en forma de fracción es mucho más exacto.
Hay fracciones que resultan interesantes, como 5/7
5/7= 0.714285714285714285 …
Puedes ver que la sucesión 714285 se repite continuamente. Es un decimal periódico. En el encontrarás un número sorprendente al que dediqué este artículo.
Fracciones egipcias
Los egipcios basaban su sistema de fracciones en jeroglíficos, a los que designaban fracciones de numerador uno. Esto lo sabemos por el Papiro de Ahmes ( el escriba que lo escribió) , que actualmente se conserva en el Museo Británico. Tiene 5 metros y medio de largo! En el tienen cabida muestras fascinantes de la aritmética y geometría egipcias. Incluye docenas de problemas acompañados por sus correspondientes soluciones.
Uno de estos problemas decía así:
“Dividir 10 hekats* de cebada entre 10 hombres de tal forma que la diferencia entre cada hombre y el siguiente sea 1/8 de hekat de cebada”
Aunque el álgebra apareciera miles de años después, Ahmes dio una solución correcta, afirmando que el primer individuo debía recibir
1/4+1/8+1/16 hekats de cebada.
(* El hekat, fue una unidad de capacidad empleada en el Antiguo Egipto)
Es realmente sorprendente que expresara el resultado como la suma de fracciones de numerador 1. Los egipcios las utilizaban casi exclusivamente.
Esto encaja en el esquema de notación de los egipcios. Para representar un inverso usaban un símbolo similar a una nube flotante encima del número entero.

¿Era un sistema fácil? Para nada! Sólo aquellos que estaban adiestrados podían conocer sus secretos más profundos y realizar bien los cálculos.
La avanzada civilización egipcia (4.000 años antes!!) utilizaba algunas fracciones privilegiadas como 2/3, pero todas las otras fracciones se expresaban como fracciones de unidad como 1/2, 1/4, 1/12 o 1/136. Podemos decir que estas eran sus “fracciones básicas”, a partir de estas podían expresarse todas las demás.
Puedes verlo en estos ejemplos:
5/7=1/3+1/4+1/8+1/168 5/7= 1/2+1/7+1/14
Posiblemente esta “expansión egipcia” tuviera poco uso práctico, pero es cierto que ha inspirado a muchas generaciones de matemáticos puros y ha proporcionado muchos problemas que constituyen auténticos retos. Algunos todavía no han sido resueltos en pleno siglo XXI.
Uno de ellos lo acaban de ver tus lindos ojos! Se desconocen los métodos para encontrar la expansión egipcia más corta.
¿Te aburren las fracciones? Juega con las fracciones!
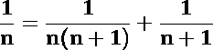
Te propongo un juego. Voy a mostrarte una identidad para que puedas sacarle más provecho a las fracciones. Creo que puede ser una forma de entretenerte y de sorprender a tus amigos. Algunos le llaman la fórmula feliz. En este vídeo lo explican bien.

Puedes sustituir la letra n por cualquier número natural. Por ejemplo, si n=4 se cumple que:

Ahora podrías volver a transformar la fracción un quinto y modificar otra vez la igualdad. Las matemáticas son para jugar!


