
Todo comenzó con el siguiente tuit en el que me mencionaban:
@eliatron cuales son los números impares consecutivos sin necesidad de empezar desde el 1, que suman 95?. Como resolver sin prueba y error?
— Cuervo (@nohaynickparami) febrero 21, 2015Sinceramente, al principio me pareció algo tonto, pero en cuanto me puse a hacer los primeros garabatos, me di cuenta que no era la cosa tan trivial como pintaba.
Probé con varios números: 9=1+3+5; 25=1+3+5+7+9; 33=9+11+13. Pero luego me di cuenta de que no es posible escribir ni el 3 ni el 5 ni el 7 ni el 11 como suma de impares consecutivos. Me resultó curioso que todos estos fueran primos. Así que pensé que algo tendría que ver con los divisores.
La clave final me la dio mi santa y venerable esposa (que lo mismo te hace una tarta de manzana estupenda, que te resuelve un problema de matemáticas): "¿te has dado cuenta que la suma de 3 impares consecutivos es múltiplo de 3?" y a partir de ahí, todo es muy sencillo.
Vamos a meternos en faena. En primer lugar vamos a demostrar lo siguiente:
La suma de los
primeros números pares es múltiplo de
.En efecto, los
primeros números pares son:
. Por lo tanto![S=2+4+\cdots+2k=2(1+2+\cdots+k)=2\frac{k(k+1)}{2}=k(k+1) [;S=2+4+\cdots+2k=2(1+2+\cdots+k)=2\frac{k(k+1)}{2}=k(k+1);]](http://m1.paperblog.com/i/307/3079889/impares-impares-everywhere-L-RRHV7M.jpeg)
que, efectivamente, es múltiplo de
.Y ahora, sea
un número impar, que no sea primo. Entonces siempre lo podremos escribir como
con
y
impares y, por ejemplo,
.Vamos a comprobar que, en estas condiciones,
puede escribirse como suma de
impares consecutivos.En efecto, supongamos que el primer impar de la lista es
(por lo que el último será
); entonces![N=a+(a+2)+\cdots+(a+2(p-1))=p\cdot a+(2+4+\cdots+(p-1))= [;N=a+(a+2)+\cdots+(a+2(p-1))=p\cdot a+(2+4+\cdots+(p-1))=;]](http://m1.paperblog.com/i/307/3079889/impares-impares-everywhere-L-cbaAe2.jpeg)
![=p\cdot a+p(p-1)=p(a+p-1) [;=p\cdot a+p(p-1)=p(a+p-1);]](http://m1.paperblog.com/i/307/3079889/impares-impares-everywhere-L-DO5U5O.jpeg)
pero recordemos que habíamos escrito
, por lo que debe ser
. Pero como
es impar, resulta que
es par (y está entre
y
). Así que
es uno de los números impares de la lista:
; más concretamente, es el número central de esa lista (recordemos que hay un número impar,
, en ella).Así que nuestra factorización de
con
, nos dice que
se puede escribir como suma de
impares consecutivos, de forma que
es el número central.Por ejemplo,
, entonces
.Y el del tuit inicial:
, entonces [95=15+17+19+21+23].Otro ejemplo más.
, así que![105=9+11+13+15+17+19+21 [;105=9+11+13+15+17+19+21;]](//m1.paperblog.com/i/307/3079889/impares-impares-everywhere-L-j9sce9.jpeg)
.
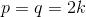
, se deduce que es necesario que
.¿Y qué ocurre con los números primos? Esta argumentación falla porque si
e s primo, la única forma de escribirlo como producto (de impares) es
, es decir, tomando
y
. Lo que nos diría que
lo podemos escribir como suma de
impar(es) consecutivo(s), siendo
el central. Obvio, ¿verdad?Pero los matemáticos nos caracterizamos por ir siempre un poco más allá. ¿Qué pasa si
es un número par?En este caso, todo funciona casi exactamente igual. El único cambio es que, si
es par , entonces siempre podremos escribirlo como
con
, pero ahora,
será un número par. Ahora bien, como
y
queremos que sea impar, resulta que
también será par. Y esto obliga a que
sea múltiplo de 4, si no, no es posible.Además, no es difícil comprobar que en tal caso,
será el número que está entre los 2 impares centrales de la suma.Por ejemplo,
, luego
.Otro ejemplo.
, entonces:Como curiosidad, combinando ambos casos, se demuestra que
cualquier cuadrado perfecto es suma de los
primeros impares consecutivosEn el caso impar,
, con
. Asi que podemos escribir
como
impares consecutivos. Pero como
y
, entonces resulta que
, es decir, el primer impar es 1.En el caso par,
es múltiplo de 4 siempre; además, podemos tomar, como antes,
y, de nuevo, esto implica que
.Ejemplos:
PD: Esta entrada participa en la Edición 6.1 del Carnaval de Matemáticas cuyo anfitrión es Tito Eliatron Dixit.
Esta entrada se ha publicado originalmente en Tito Eliatron Dixit.
Si la estás viendo en otra web, probablemente estéás siendo víctima de un engaño.
![105=9+11+13+15+17+19+21 [;105=9+11+13+15+17+19+21;]](http://m1.paperblog.com/i/307/3079889/impares-impares-everywhere-L-j9sce9.jpeg)
.
![36=6^2=1+3+5+7+9+11 [;36=6^2=1+3+5+7+9+11;]](http://m1.paperblog.com/i/307/3079889/impares-impares-everywhere-L-sTimIp.jpeg)
![49=7^2 =1+3+5+7+9+11+13 [;49=7^2 =1+3+5+7+9+11+13;]](http://m1.paperblog.com/i/307/3079889/impares-impares-everywhere-L-WbQqD8.jpeg)
