Andaba necesitando inspiración para saber sobre que temas de programación escribir y me di cuenta que existe Yahoo answers. En ese lugar la gente hace preguntas y se puede responder, lo cual me lleva a que voy a responder algunas preguntas de programación que aparezcan ahí.
Vamos por la primera:
¿Ayuda con ejercicio de informática?
Buscar en INTERNET la serie que calcula el número “e”:
1. escribir un programa para calcular la serie con “N” términos (los N primeros)
2. escribir un programa para calcular la serie con todos los términos superiores a un epsilon que se entra como dato (por ejemplo 0.00001)
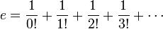
Vamos a ir por el punto 1 en esta ocasión:El número e que es aproximadamente 2,71828 18284 59045 23536 02874 71352 66249 77572 47093 69995… surge de hacer la serie:
O sea…
Voy a usar Python para dar una solución sencilla al programa:
from math import factorial
total=0.0
cantidad=raw_input("Ingrese cantidad de iteraciones: ")
for i in range (0,int(cantidad)+1):
total=total+(1.0/factorial(i))
print total
Bastante sencillo verdad?
Hay formas mejores con fracciones para ir sacando los decimales, veremos si me pongo a hacerlo, pero creo que esto es algún tipo de ejercicio para la escuela y con eso basta.
