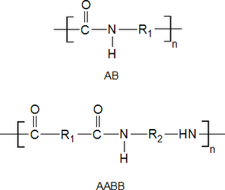
Todos tenemos en el armario alguna pieza de ropa que contiene nylon. El nylon es una fibra sintética que fue descubierta por la empresa Dupont en febrero de 1935. Justamente mañana el nylon cumplirá 76 años. Fue ideado como sustituto sintético de la seda su primer uso fue como cepillo de dientes y luego viendo su gran resistencia y su gran tenacidad se usaron para hacer las medias de las señoras en USA, donde llegaron a ser muy populares. (Debido a la gran resistencia de estas medias de nylon Dupont se vio obligada a hacer un caso de obsolescencia programada con dichas medias) Después los USA entraron en la segunda guerra mundial produciéndose un boom en la fabricación de nylon ya que se usaba en cuerdas y paracaídas.Ahora os estaréis preguntando que es el Nylon. El nylon es un polímero que pertenece a la familia de las poliamidas. Como sabéis un polímero significa la repetición de pequeñas unidades, las unidades que se repiten en el nylon son las siguientes.
La unión de estos monómeros forman el nylon. Según la longitud de carbonos que presente R1 o R2 será un Nylon 6 si tiene 6 carbonos Nylon 6,6 si R1 y R2 son 6 carbonos también., Nylon 12 si presentan 12 y así sucesivamente. El nylon mas utilizado en la actualidad es el nylon 6,6.
La formación del nylon es mediante una reacción de condensación (perdida de agua) entre un diácido orgánico (izquierda) y una diamina (derecha).
El diácido se encuentra disuelto en agua y la diamina en hexano (son dos disolventes como el agua y el aceite no se unen) y la reacción anterior tiene lugar en la interfase de los dos disolventes. Si queréis hacer nylon en casa solamente tenéis que seguir el siguiente vídeo.
PARA SABER MÁS: Textos científicos: Nylon
