Embárcate en una odisea cósmica con mi artículo sobre ondas gravitacionales. Descubre cómo estas perturbaciones en el tejido del espacio-tiempo, están transformando nuestra comprensión del universo. Desde la fusión de agujeros negros hasta las ondas que viajan por el cosmos, adéntrate en el fascinante mundo de la Astrofísica y la Ciencia de vanguardia. 🚀✨
¿Qué son las ondas gravitacionales?
Imaginemos el espacio-tiempo como una lámina de goma que se deforma cuando colocas un objeto pesado sobre ella, como una bola pesada. Si la dejamos sobre la lámina, veremos que crea una deformación. Si esta bola se mueve rápidamente, generará ondulaciones en la lámina. De manera similar, cuando objetos masivos como agujeros negros o estrellas de neutrones colisionan, generan ondas gravitacionales que se expanden por el universo a la velocidad de la luz.
Características de las ondas:
v = velocidad de la onda (rapidez de propagación de la onda en un medio). Se mide en unidades de longitud/tiempo.
λ = longitud de onda (distancia sobre la que se repite una forma de onda). Se mide en unidades de longitud.
f = frecuencia de onda (número de ondas por unidad de tiempo). Su unidad elemental el hertzio o hercio (Hz) o sus mútiplos Khz, MHz...
Para la luz y otras radiaciones electromagnéticas en el vacío, la velocidad de onda es la velocidad de la luz (c):
En el caso de la luz visible, la frecuencia, y por tanto la longitud de onda, determinan el color de dicha luz.
En el caso de las ondas gravitacionales, lo que vibra es el propio espacio-tiempo. Son las oscilaciones más elementales que podemos imaginar.
Las ondas gravitacionales pueden tener una amplia gama de longitudes de onda y frecuencias, dependiendo del evento que las genera. Aquí tienes una visión general de sus características:
* Frecuencia: Las ondas gravitacionales detectadas por observatorios como LIGO y Virgo suelen tener frecuencias en el rango de 10 Hz a varios kHz. Por ejemplo, las ondas generadas por la fusión de agujeros negros suelen estar en el rango de 100 Hz a 1 kHz.
* Longitud de onda: La longitud de onda de las ondas gravitacionales es inversamente proporcional a su frecuencia. Para las frecuencias mencionadas, las longitudes de onda están en el rango de miles a cientos de kilómetros.
* Eventos de baja frecuencia: Hay eventos astrofísicos, como la fusión de agujeros negros supermasivos, que generan ondas gravitacionales de baja frecuencia (menos de 1 Hz), pero estas son difíciles de detectar con los observatorios terrestres actuales y requieren instrumentos espaciales como el futuro observatorio LISA (Laser Interferometer Space Antenna).
Para resumir, las ondas gravitacionales pueden variar considerablemente en frecuencia y longitud de onda, dependiendo de la naturaleza y la escala de los eventos que las generan.
Aunque son extremadamente poderosas en su origen, estas ondas son increíblemente sutiles al llegar a la Tierra, provocando cambios minúsculos en la distancia entre objetos o en su tamaño (del orden de una fracción del tamaño de un protón). Detectarlas ha sido un desafío tecnológico y científico monumental, dado que cualquier onda sufre un proceso de pérdida de energía proporcional al inverso del cuadrado de la distancia recorrida.
Las ondas portan energía. En en caso de las radiaciones electromagnéticas (luz, radiaciones infrarrojas y ultravioletas, rayos láser, rayos X...) dicha energía se expresa mediante la expresión:
E=h⋅ν
donde E es la energía, h es la constante de Planck (6.626×10 −34 Js y ν es la frecuencia de la onda.
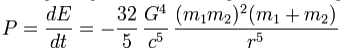
La energía de una onda gravitacional es mucho más compleja de expresar y depende de la amplitud de la onda y la distancia al evento generador. En términos generales, la potencia radiada en ondas gravitacionales por un sistema binario puede expresarse usando la fórmula derivada de las ecuaciones de Einstein.
La potencia radiada por ondas gravitacionales generadas por un sistema binario, puede obtenerse mediante la fórmula:

G: Constante de Gravitación Universal.
r: distancia entre ellos (entre sus centros de masas).
El 14 de septiembre de 2015, un laboratorio científico especial, LIGO, logró detectar algo que Einstein predijo hace más de un siglo: las ondas gravitacionales, sutiles ondulaciones en el tejido del espacio-tiempo, provocadas por eventos cósmicos de gran magnitud como la colisión de agujeros negros.
Esta onda, conocida como GW150914, fue generada por la fusión de dos agujeros negros a unos 1.3 mil millones de años luz de distancia. La señal duró aproximadamente 0.2 segundos y fue observada simultáneamente por los detectores de LIGO en Hanford (Washington), y Livingston (Louisiana). Esta colisión, detectada por LIGO en 2015, (GW150914), liberó una cantidad de energía equivalente a unas 3 masas solares en tan solo una fracción de segundo. Esta energía fue transportada a través del universo en forma de ondas gravitacionales, distorsionando el espacio-tiempo a su paso.
Einstein consideró el espacio y el tiempo como un tejido interconectado, llamado espacio-tiempo, que puede doblarse, estirarse o comprimirse en presencia de objetos masivos. Cuando estos objetos experimentan movimientos extremadamente rápidos y violentos, como la colisión de dos agujeros negros o la explosión de una supernova, generan perturbaciones en el espacio-tiempo que se propagan hacia afuera, en todas las direcciones, como ondas: las ondas gravitacionales.
Las herramientas tradicionales de la astronomía, que dependen de la luz o las partículas (telescopios, espectroscopios, interferómetros...) han permitido un profundo pero limitado, conocimiento de nuestro universo cercano. Las ondas gravitacionales nos permiten observar fenómenos que antes eran invisibles.
Las ondas gravitacionales, por tanto, son perturbaciones en el tejido del espacio-tiempo que se propagan como ondas, causadas por eventos cósmicos extremadamente energéticos. Estas ondulaciones fueron predichas por Albert Einstein en 1915 como una consecuencia de su Teoría General de la Relatividad.
Imaginemos el espacio-tiempo como una lámina de goma que se deforma cuando colocas un objeto pesado sobre ella, como una bola pesada. Si la dejamos sobre la lámina, veremos que crea una deformación. Si esta bola se mueve rápidamente, generará ondulaciones en la lámina. De manera similar, cuando objetos masivos como agujeros negros o estrellas de neutrones colisionan, generan ondas gravitacionales que se expanden por el universo a la velocidad de la luz.

Cuando la onda gravitacional alcanza un objeto, le transmite energía que produce deformaciones infinitesimales temporales.
Gravedad vs ondas gravitacionales
Las ondas gravitacionales y la gravedad están profundamente relacionadas a través de la teoría de la Relatividad General de Einstein.
Gravedad como curvatura del espacio-tiempo: Según la relatividad general, la gravedad no es una fuerza como tal, sino el efecto de la curvatura del espacio-tiempo causada por la presencia de masa y energía. Los objetos masivos, como planetas y estrellas, deforman el espacio-tiempo a su alrededor, y esta deformación es lo que percibimos como gravedad.
Ondas gravitacionales: Las ondas gravitacionales son perturbaciones en el espacio-tiempo que se propagan como ondas. Cuando objetos masivos, como agujeros negros o estrellas de neutrones, se mueven y aceleran, generan fluctuaciones en la curvatura del espacio-tiempo, y estas perturbaciones se propagan a la velocidad de la luz como ondas gravitacionales.
Son ondas transversales, por lo que se pueden polarizar Cuando una onda gravitacional se encuentra con una masa, al ser ondas transversales el cuerpo se deformará en la dirección de vibración de la onda (debido a la acción del campo gravitatorio), y en su plano perpendicular (cuando éste deje de actuar). Es decir, el cuerpo es estirado en una dirección y comprimido en la otra y viceversa. Esto se repite mientras la onda esté interactuando.

Por tanto, la gravedad es el efecto de la curvatura del espacio-tiempo, y las ondas gravitacionales son ondulaciones en esa curvatura que viajan por el universo. Nos permiten estudiar eventos astrofísicos extremos y nos ofrecen una nueva forma de observar la interacción de la gravedad en el cosmos.
¿Cómo se generan las ondas gravitacionales?
Existen varias formas de generarse ondas gravitacionales : Eventos astronómicos: colisiones de agujeros negros, estrellas de neutrones, supernovas, etc...
Las ondas gravitacionales se generan debido a movimientos acelerados de grandes masas en el universo. Aquí hay algunas de las causas más comunes:
-
Colisiones de agujeros negros : Cuando dos agujeros negros orbitan y eventualmente colisionan, las enormes masas y sus velocidades generan ondas gravitacionales extremadamente potentes.
-
Fusión de estrellas de neutrones : Similar a los agujeros negros, cuando dos estrellas de neutrones se fusionan, sus masas y la energía liberada crean estas ondas.
-
Supernovas : La explosión de una estrella masiva, que libera cantidades colosales de energía y materia, también puede generar ondas gravitacionales.
-
: Viajan a la velocidad de la luz. Esto es tá de acuerdo con las predicciones de Einstein, ya que estas ondas no son ondas materiales, sino oscilaciones del propio espacio-tiempo.
-
Energía transportada : Las ondas gravitacionales transportan energía lejos de los sistemas que las generan, haciendo que estos pierdan una pequeña cantidad de energía orbital con el tiempo.
-
Espacio comprimido y estirado: A medida que las ondas pasan a través del espacio-tiempo, comprimen y estiran las distancias entre los objetos en direcciones perpendiculares, aunque estos efectos son extremadamente diminutos.
Ecuaciones de Einstein y ondas gravitacionales
Las ondas gravitacionales fueron predichas en las ecuaciones de campo de Einstein, que describen cómo la masa y la energía afectan a la curvatura del espacio-tiempo. Cuando estas ecuaciones se resuelven para situaciones dinámicas, muestran que las perturbaciones en el espacio-tiempo no solo se curvan estáticamente alrededor de una masa, sino que también pueden propagarse en forma de ondas.
Einstein, demostró que sistemas acelerados (como dos objetos masivos orbitando entre sí) deberían generar ondas gravitacionales. Sin embargo, debido a la tecnología limitada de su tiempo, pensó que estas ondas serían tan d ébiles que nunca podrían ser detectadas.
Primeros intentos de detección y estudio:
El universo no es especialmente sensible a la radiación gravitatoria ya que contiene numerosas fuentes de éstas. El Modelo Estándar de Física de Partículas contempla cuatro tipos de fuerza, la más débil de las cuales es la gravitatoria, lo que hace que la detección de sus ondas de forma directa sea complicada. A pesar del desarrollo del Modelo Estandar, aún no ha podido ser detectado el " gravitón "
El gravitón es una partícula hipotética que, en teoría, mediaría la fuerza de la gravedad en un marco de teoría cuántica.
Aquí hay algunos puntos clave sobre el gravitón:
* Partícula mediadora: En las teorías cuánticas de campos, las fuerzas fundamentales son mediadas por partículas. Por ejemplo, el fotón medía la fuerza electromagnética, y el gravitón se postula para mediar la fuerza gravitacional.
* Propiedades: Se espera que el gravitón sea una partícula sin masa (como el fotón).
* Teoría cuántica de la gravedad: La existencia de gravitones sería un componente clave de una teoría cuántica de la gravedad, que aún no ha sido desarrollada completamente. El objetivo es unificar la relatividad general (que describe la gravedad a escalas grandes) con la mecánica cuántica (que describe las otras tres fuerzas fundamentales a escalas subatómicas.
* Desafíos de detección: Debido a la extremadamente débil interacción de la gravedad comparada con otras fuerzas, detectar gravitones sería un desafío inmenso, quizás más allá de nuestras capacidades tecnológicas actuales, lo que se relaciona con el concepto del límite de impracticidad de Dyson. El límite de impracticidad de Dyson es un concepto propuesto por el físico Freeman Dyson. Se refiere a la dificultad práctica de detectar un solo gravitón, la partícula hipotética que media la fuerza de la gravedad en teorías cuánticas de la gravedad. Dyson argumentó que, debido a la extremadamente débil interacción de la gravedad en comparación con otras fuerzas fundamentales, detectar un gravitón individual sería prácticamente imposible con la tecnología actual y, probablemente, con cualquier tecnología del próximo futuro.
Barras de Weber:Weber diseñó y construyó grandes barras cilíndricas de aluminio o berilio, conocidas como barras Weber. Estas barras, de unos 2 metros de largo, 50 centímetros de diámetro y unos 1500 kg cada una. Deberían resonar cuando una onda gravitacional causara pequeñas distorsiones en su estructura.
La idea era que una onda gravitatoria que atravesara la barra la comprimiera y estirara ligeramente. Estas distorsiones inducirían vibraciones que podrían amplificarse y medirse con sensores piezoeléctricos fijados a las barras.
Sin embargo, los cambios que Weber detectó eran dramáticamente pequeños en nuestro mundo macroscópico: variaciones del orden de 10-16 metros. Este valor es mucho más pequeño que el diámetro de un núcleo atómico.
Los resultados no pudieron ser reproducidos y se extendió la duda de la veracidad de estos experimentos. Aunque no fué un éxito, el experimento abrió el interés para el desarrollo de métodos de mayor precisión, inspirando el desarrollo de detectores más sofisticados basados en interferometría láser como los usados en proyectos LIGO y Virgo.
Recomiendo el excelente artículo de Francis Villatoro
Otros intentos de detección de ondas gravitacionales
En 1974 Russell Hulse y Joseph Taylor, universidad de Princeton (premios nobel en 1993) descubrieron un pulsar ( tipo de estrella de neutrones que emite radiación en pulsos regulares y rápidos) llamado PSR1913+16.Utilizando el radiotelescopio Arecibo de 305m de diámetro (Cornell University, Puerto Rico) detectaron pulsos de radio, llegando a la conclusión de que provenían de un pulsar rotando rápidamente. La estrella de neutrones giraba 17 veces por segundo, esto es, se detectaban pulsos de radio cada 59 milisegundos.
Después de percatarse de esto, se dieron cuenta que había un cambio sistemático en el tiempo de llegada de los pulsos, a veces llegaban antes de lo esperado y otras más tarde. Estas variaciones se producían de forma suave y repetitiva, con una periodo de 7,75 horas. Se dieron cuenta de que este comportamiento se podía describir si el pulsar formaba parte de un sistema binario junto con otra estrella.
Utilizaron la llegada de los pulsos como un "reloj" para estudiar cambios en la medición de tiempos provocados por efectos gravitatorios. Por ejemplo, cuando las dos estrellas están es su punto más cercano el campo gravitatorio es mayor, y por lo tanto el tiempo propio de éstas es menor.
Primera detección de ondas gravitatoriasLa primera detección directa de ondas gravitacionales ocurrió en 2015, gracias al observatorio LIGO, confirmando con precisión las predicciones de Einstein. Este hallazgo no solo verificó un aspecto clave de la Teoría General de la Relatividad, sino que también consolidó nuestra comprensión de cómo el espacio-tiempo interactúa con fenómenos extremos del universo.
Otros eventos detectados
GW150914: Anunciada en febrero de 2016. Provenía de la fusión de dos agujeros negros con masas de aproximadamente 36 y 29 masas solares, ubicados a unos mil trescientos millones de años luz
GW151226: En diciembre de 2015, se detectaron ondas gravitacionales de una segunda fusión de agujeros negros, esta vez con masas de aproximadamente 14 y 8 masas solares a unos 1400 millones de años de distancia.
GW170104: En enero de 2017, se detectaron ondas de una tercera fusión de agujeros negros, con masas de aproximadamente 31 y 19 masas solares, a unos 3 mil millones de años luz de la Tierra.
GW170817: En agosto de 2017, se detectaron ondas gravitacionales de la fusión de dos estrellas de neutrones, seguida por señales electromagnéticas (rayos gamma, rayos X), marcando el primer evento de fusión de estrellas de neutrones observado en múltiples formas de radiación.
En resumen, las ondas gravitacionales son un testimonio de la elegancia y la precisión de la teoría de Einstein, proporcionando una manera completamente nueva de explorar los secretos del cosmos. No solo han validado predicciones teóricas de hace más de un siglo, sino que también han abierto una nueva era en la astronomía, permitiéndonos explorar el universo de maneras antes inimaginables.
Pero este asunto ya es motivo de un próximo artículo dedicado al detector LIGO..
Comentario final: Aconsejo la visualización del documental La Sinfonía Secreta del Cosmos (Documental Completo, 2024)
_____________https://iac3.uib.es/wp-content/uploads/2020/10/615934_o3a_catalog_science_summary_v7_spanish.pdf (pdf)
https://serviastro.ub.edu/es/materiales/articulos/virgo-y-ligo-cazadores-de-ondas-gravitacionales