El summun del recalce de una estructura, utilizando la técnica de los micropilotes, es cuando dejas la estructura totalmente sustentada sobre los micropilotes y excavas bajo ella para crear un nuevo espacio.
Una vez completada la excavación, los micropilotes, adecuadamente arriostrados, hacen las funciones de una gran cimbra que recoge la estructura.
Abajo os pongo una foto donde se ven varios micropilotes sustentando una alineación de pilares así como una figura de un castillete de cimbra, las similitudes son evidentes.
Esta similitud nos puede llevar a la conclusión que la metodología de cálculo sería similar, pues NO, a continuación os explico el porqué. Primero os daré unas razones estructugeotécnicas y luego os contaré mis razones.
La comprobación de un castillete de cimbra soportando un pilar, pasaría por una verificación del conjunto para soportar el esfuerzo del pilar y después, una verificación de los elementos a compresión y a tracción. En estas verificaciones, el parámetro más restrictivo suele ser el pandeo de los tramos que trabajan a compresión, siendo su longitud de pandeo, la longitud entre puntos de arriostramiento.
Por ejemplo, si tenemos un castillete con tramos de 150cm, la longitud de pandeo será de 150 cm. Aquí encontramos una gran diferencia con los recalces de micropilotes que sustentan estructuras, ya que, aunque la longitud entre tramos de arriostre sea de 150 cm, la longitud de pandeo será mayor, me explico.
El proceso constructivo implicará la excavación del terreno bajo el último nivel de arriostramiento un mínimo de 150 cm (en este ejemplo), pero en esa cota no podremos considerar que hay un punto de arriostre hasta que los arriostres se hayan ejecutado, es decir, hasta que estos arriostres se hayan ejecutado, tendremos una longitud de pandeo mayor debido a que el terreno no se comporta en superficie como un punto fijo sino como parcialmente fijo.
Cada micropilote estará parcialmente embebido en el terreno, la parte enterrada (de longitud Lf) tiende a flectar como consecuencia de los esfuerzos de compresión que le transmite la parte externa (de longitud l). El terreno reacciona contra esa flexión, contrarrestando, en parte el efecto de la carga vertical, abajo os pongo esquema.
Davisson y Robinson (1965) idearon un método simplificado, que supuso que el micropilote era equivalente a una pieza prismática, empotrada de longitud Lf. La carga de pandeo se calcula, entonces, con los sistemas habituales de cálculo de estructura una vez conocida Lf. Los citados autores determinan esta profundidad por comparación con las soluciones basadas en el coeficiente de reacción lateral (definido como K para arcillas y nh para arenas), abajo os pongo esquema.
El valor de Lf puede tomarse como:
Arcillas:
Arenas:
Los valores de K y nh pueden tomarse, igualmente de la famosa tabla del “GEOTECNIA Y CIMIENTOS”.
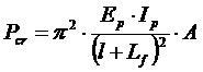
Una vez obtenida Lf la carga crítica de pandeo, Pcr, vendrá dada por expresiones típicas para la verificación de la estabilidad de una estructura frente a pandeo, por ejemplo la siguiente:
Donde A es una constante que depende del tipo de coacción en cabeza, destaco la última opción :
· articulada: A = 2,045
· libre: A = 0,25
· empotrada: A = 4,0
· sin giro, pero con desplazamiento: A = 1,0
Ep es el módulo elástico de la tubería de acero y Ip la inercia de ésta. Para no hacéroslo todo os dejo la fórmula de la inercia de un cilindro y o recuerdo que un valor razonable de módulo de elasticidad del acero es 2.100.000 Kg/cm2
A modo de ejemplo, si prevemos la utilización de 4 micropilotes para recoger una acción con micropilotes de diámetro 15 cm armados con tubos de diámetro exterior 100 mm y espesor 10mm, en un terreno formado por arcilla blanda ( K= 1 Kg/cm3) colocando niveles de arriostramiento cada 150 cm.
La metodología anterior nos diría que la máxima carga que podría soportar el conjunto de 4 micropilotes, en esta fase constructiva, sería de 200 Tn.
Personalmente asumiría un esfuerzo bastante menor, entre 50 y 150 Tn en función de la confianza que me diera el resto de partícipes en la obra, esta bajada puede parecer exagerada, pero estoy valorando cosas que pasan en este tipo de obra, como por ejemplo:
· En fase de excavación no se tiene el cuidado adecuado y se golpean los micropilotes, incluso con maquinaria pesada.
· La soldadura no se hace con el cuidado adecuado, no valorando adecuadamente fenómenos asociados a dilataciones diferenciales.
· Dado lo laborioso que es este tipo de trabajo, siempre hay el riesgo que un “valiente” decida excavar varios niveles para después hacer los arriostramientos.
· Los micropilotes sufren desviaciones respecto a su posición teórica.
· Las acciones sobre el conjunto de micropilotes no suelen ser centradas, existiendo un reparto no homogéneo entre los diferentes micropilotes.
· Y un largo etcétera que os dejo a vosotros para que lo investiguéis.
Por cierto, sobre pandeo de pilotes y micropilotes ya he hablado varias veces en GEOJUANJO, os dejo los links, también os dejo varios sobre tubería de micropilotes, la cual, tal y como habéis visto arriba, es la protagonista de todo lo dicho y, a veces, no es lo que parece.
¿Puede pandear un pilote? Porqué he visto micropilotespandeados pero pilotes no? Los micropilotes sí tienennormativa. Cuidado con las tuberías en las pantallas. Cuidado a veces las cosas no sonlo que parecen
Gracias por vuestro tiempo.
