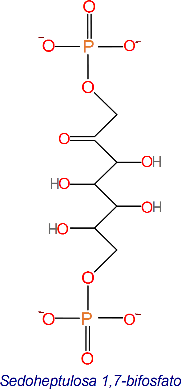
Paso 5, de la regeneración de RuBP, síntesis de una heptosa
En este punto retomamos uno de los intermediarios de 4 carbonos que fue generado por el clivaje de la primer F6P, y se la hace reaccionar con una molécula de DHAP producto del segundo inicio del ciclo de Calvin.
Nos encontramos ante una nueva reacción de síntesis en la que una molécula de 4 carbonos y una molécula de 3 carbonos forman una de 7 carbonos llamada sedoheptulosa-1,7-bifosfato.
La enzima que cataliza esta reacción se denomina aldolasa.
