Los que ya sigan este blog, y los que hayan llegado hasta él recientemente y hayan leído alguna de sus entradas, sabrán que en él suelen aparecer entradas con curiosidades matemáticas, otras con acertijos y juegos que pretenden incentivar el uso de las matemáticas de una manera más entretenida, entradas con humor gráfico matemático, algunas leyendas… en fin, como dice la frase que lo encabeza, trata de ser “Una forma entretenida de acercar las matemáticas a todo el mundo”.
Pues bien, en esta idea de acercamiento de las matemáticas, comienza esta línea dentro del blog que he llamado “Probabilidad empezando desde cero”. No tiene grandes ambiciones ni pretende llegar a altos niveles, simplemente, y desde la humildad, quiere eso que hablaba desde el principio: “acercar” esta parte de las matemáticas. Por supuesto que para muchas y muchos serán conocimientos más que conocidos, pero para otras tantas personas no, o quizás no de la forma en que deberían, de manera que, como las matemáticas deben ser de todos y para todos, ya tiene aquí una justificación. Así que, si tiene una ambición es precisamente ésta última.
¿Y por qué probabilidad? Pues porque aparece en nuestro día a día mucho más de lo que nos imaginamos, está presente en muchos ámbitos, desde la medicina hasta elcontrol de calidad en la industria, y nos puede ayudar a ser algo menos ignorantes y susceptibles de engaño, y a tomar decisiones.
Vamos allá, como dice el título de este Capítulo 1, comencemos…
Lo primero es saber bien de qué estamos hablando. Empecemos definiendo un experimento como cualquier situación u operación en la cuál se pueden dar uno o varios resultados, dentro de un conjunto bien definido de posibles resultados. Pues bien, tenemos que diferenciar bien entre experimentos aleatorios y experimentos deterministas. ¿Cuál es la diferencia? Podemos decir que un experimento es determinista cuando al repetirlo bajo idénticas condiciones iniciales se obtienen los mismos resultados, es decir, podemos predecir el resultado (por ejemplo, al comprobar la temperatura de ebullición del agua; Conociendo la altura desde la que se arroja un móvil es posible saber exactamente el tiempo que tardará en llegar al suelo en condiciones de vacío… otra cosa distinta sería predecir en que estado quedará, yo en este caso prefiero no realizar el experimento). Sin embargo, si el experimento lo repetimos bajo idénticas condiciones iniciales y no obtenemos siempre los mismos resultados, se trata de un experimento aleatorio (por ejemplo, la pareja de números obtenida al lanzar dos dados).

Estos últimos son los que nos interesan, así que nos quedamos con ellos.
¿Qué caracteriza entonces a un experimento aleatorio? Podemos resumirlo así:
- El experimento puede repetirse en idénticas condiciones, al menos conceptualmente, y una modificación en las condiciones iniciales nos modifica el resultado final del experimento.
- Se puede determinar el conjunto de posibles resultados del experimento (será más o menos fácil hacerlo), pero no podemos predecir previamente un resultado particular. Por ejemplo, en el lanzamiento de un dado cuyas caras están numeradas del 1 al 6, sabemos que los posibles resultados son: 1, 2, 3, 4, 5 y 6, pero no podemos predecir qué número va a salir al tirar el dado.
- Si el experimento lo repetimos un gran número de veces, nos encontramos en los resultados una cierta regularidad estadística, es decir, los resultados del experimento tienden a estabilizarse.
Pues bien, esto último nos interesa mucho. Utilicemos como ejemplo de nuevo el lanzamiento del dado numerado del 1 al 6. Si nosotros vamos lanzando el dado y apuntando el resultado (número del dado) que se obtiene, podemos ir calculando la frecuencia relativa con la que aparecen cada uno de los números del dado de la siguiente manera:


y así con cada uno de los seis resultados posibles. Mientras el número de lanzamientos no sea muy grande, la frecuencias relativas irán oscilando. Sin embargo, a medida que el número de lanzamientos vaya aumentando, empezarán a estabilizarse cada vez más. En la siguiente tabla se reflejan los resultados obtenidos de una simulación del experimento hasta llegar a 100.000 lanzamientos.

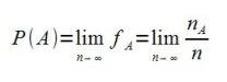
Cuando el número de repeticiones del experimento (lanzar el dado) tiende a infinito, la frecuencia relativa converge a un valor que llamamos probabilidad.
Ya tenemos aquí una definición de probabilidad. De forma general, si lo expresamos de un modo más “matemático”, la probabilidad de que ocurra un suceso A, que denotamos como P(A), será:

donde:



Pues de momento, lo vamos a dejar aquí. Aunque quizás ésta que hemos visto no sea precisamente la parte más entretenida, sí es importante saber bien de qué estamos hablando cuando trabajamos con el concepto de probabilidad y entender lo que es realmente.
En el próximo capítulo, veremos una forma mucho más sencilla de calcular esta probabilidad para determinados casos, sin necesidad de hacer tantas repeticiones del experimento. Eso y más cosas.


