y
. Incluso esta misma semana hemos visto una demostración no demasiado complicada de la irracionalidad de
debida a Lagrange.En el presente artículo vamos a dar un método sencillo para probar la irracionalidad del número
, un método que, en esencia, es muy conocido, pero ahora vamos a ofrecer una ligera variante que lo hace muy interesante para contarlo a alumnos de un primer curso de carreras científicas. Más aún, trataremos de aprovechar este método para demostrar de una forma similar la irracionalidad de otros números... incluido
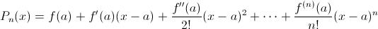
.Comencemos. Para poner en funcionamiento nuestro método, necesitamos acudir a los polinomios de Taylor. Se trata del paso previo a las Series de Taylor en el que una función suficientemente buena (en el sentido de poderse derivar hasta el grado necesario), se aproxima a través de un polinomio que, en el punto en el que se expande, comparte todas las derivadas (desde 0 hasta su propio grado) con nuestra función. Pero claro, cuando aproximamos siempre se comete un cierto error, por lo que, a diferencia de las Series de Taylor (que pueden interpretarse como polinomios de grado infinito), necesitamos tener alguna expresión que nos permita controlar.
Así pues, si tenemos una función
que se puede derivar
veces en un punto
, el polinomio de Taylor de grado
alrededor de
es
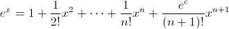
Y se cumple que
donde
es el error cometido. Si, además de lo anterior, resulta que podemos derivar una vez más nuestra función
, entonces hay una bonita expresión del error (o resto) debida a Lagrange:
donde
es un punto intermedio entre
y
.Pues ya tenemos todos los ingredientes necesarios para probar la irracionalidad de
. Bueno, todos no. Tomemos ahora
, que es una función infinitamente derivable (por lo que tiene polinomio de Taylor de cualquier grado y el Resto de Lagrange está bien definido). Como sea cual sea el número natural
que elijamos resulta que
es muy fácil comprobar que el polinomio de Taylor de grado
de
alrededor de
(en este caso, se llamaría Polinomio de MacLaurin) es
Si ahora tenemos en cuenta la expresión de Lagrange del error cometido, se puede poner que
donde
es un número entre
y
.
Ahora ya sí que tenemos todos los ingredientes en la cazuela. Procedamos a encender el horno, para lo cual basta tomar
en la expresión anterior para obtener que para algún número
se tiene que
Ahora procedamos por Reducción al Absurdo. Supongamos que
es un número racional y que su expresión como fracción irreducible es
. Entonces se tiene que
Elijamos
suficientemente grande, por ejemplo,
, y multipliquemos ambos miembros por
. Resulta, entonces que
Pero analicemos ambos miembros de esta igualdad. Como
, resulta que
por lo que
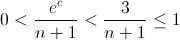
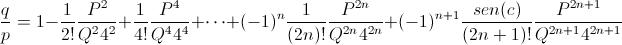
y tenemos que la parte izquierda de la igualdad es un número natural. Por otro lado, es obvio que de la parte derecha de la igualdad, lo que está entre paréntesis también es un número natural, lo que obliga a que
sea un número natural. Pero... recordad que
por lo que
, es decir,
<3" style="display: inline;" alt="[;0<3;]" title="0<3"> pero como
resulta que
<%20%5Cfrac%7Be%5Ec%7D%7Bn+1%7D<%5Cfrac%7B3%7D%7Bn+1%7D%5Cle%201" style="display: inline;" alt="[;0 < \frac{e^c}{n+1}<\frac{3}{n+1}\le 1;]" title="0 < \frac{e^c}{n+1}<\frac{3}{n+1}\le 1" />
o lo que es lo mismo,
no puede ser un número natural, lo que lleva a contradicción, resultando ser
un número irracional.Sólo un mínimo comentario a esta demostración. Se trata de un ejercicio clásico de primero de matemáticas demostrar que, con la definición de límite del número
, es decir,
, se tiene que
. Bueno, pues ya tenemos demostrada la irracionalidad de
con un nivel de primero de carrera de ciencias. Pero el titulo del post nos prometía algo más, así que allá vamos.Esta misma técnica también nos permite demostrar la irracionalidad de algunos otros números.
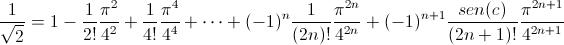
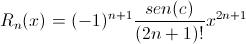
Por ejemplo, partamos del polinomio de Taylor de la función
:
donde, según Lagrange,
Como antes, haciendo
se tiene que
Supongamos, por reducción al absurdo que
(fracción irreducible). Entonces, multiplicando ambos miembros por
y asumiendo que
resulta que
Como antes, tanto el lado izquierdo como la parte entre paréntesis del lado derecho resultan ser números enteros (venga, va, como hay algunos sumandos negativos...); por lo que el término que falta está obligado a ser también entero. Pero como
, resulta que
<1" style="display: inline;" alt="[;0<1;]" title="0<1"> por lo que no puede ser enteroy llegamos a contradicción. Así que hemos probado que
no puede ser racional.De manera completamente análoga, pero usando el desarrollo de Taylor de la función
(que es idéntico al del coseno, pero con los términos impares), se demuestra que
tampoco puede ser racional.Pero vamos a intentar ir un poco más allá.Volvamos al desarrollo del coseno y hagamos
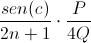
. Entonces resulta que:
Supongamos que
y
son racionales y escribámoslos como fracciones irreducibles:
y
. Entonces la igualdad anterior queda
Multipliquemos ambos miembros por
con
suficientemente grande, por ejemplo, tal que
. Así tenemos que
Ahora bien, la parte izquierda, por la elección de
que hemos hecho, está en
y lo de dentro del paréntesis también, lo que obliga a
a ser un número entero. Pero
<1" style="display: inline;" alt="[;\pi/4=P/4Q<1;]" title="\pi/4=P/4Q<1"> y
luego
<1" style="display: inline;" alt="[;0<1;]" title="0<1">; por lo que jamás podrá ser entero y llegamos a contradicción.
Pero... ¿qué obtenemos de esta contradicción? Pues que
y
no pueden ser racionales a la vez. Ojo, no hemos probado la irracionalidad de ambos números, sino que no pueden ser simultáneamente racionales (podría darse el caso de ser uno irracional y el otro no). Vamos, que hemos probado que al menos uno de esos dos números es irracional, ¿cual de ellos? No lo sé, pero uno de ellos seguro que lo es.
Tito Eliatron Dixit
PD: Esta entrada participa en la Edición 3.1415926535 del Carnaval de Matemáticas cuyo anfitrión es La Aventura de la Ciencia.
Si te ha gustado esta entrada, puedes dejar un comentario directamente en Tito Eliatron Dixit.
