Creo que de todos es conocido el hecho de que
es irracional. Incluso muchos de vosotros seríais capaces de darme una demostración. Los griegos clásicos, coetáneos de Pitágoras, fueron capaces de demostrar que todas las raíces de números naturales entre 2 y 17 (excepto 4, 9 y 16) eran números irracionales. El motivo por el que pararon en 17 no se sabe con certeza, pero parece que la demostración usada (por Teodoro de Cirene) tenía un carácter geométrico que impedía ir más allá. A lo mejor, la Espiral de Teodoro puede tener algo que ver.
En el presente post vamos a demostrar que la raíz cuadrada de un número natural que no sea un cuadrado perfecto, debe ser irracional. Y lo vamos a probar usando métodos que hasta el propio Pitágoras podría haber conocido. Vamos allá.
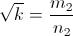
Tomemos un número natural
que no sea un cuadrado perfecto. Supongamos, por reducción al absurdo, que
es racional, es decir,
donde
y
son naturales (con
, por si eres de los que cuenta el cero entre los naturales). Como
no es un cuadrado perfecto, es claro que
no es natural, por lo que podemos encontrar
de forma que
, luego
.
Como
, elevando al cuadrado y quitando denominadores se consigue que
. Si ahora restamos
en ambos miembros y sacamos factor común llegamos a que
, y de aquí es fácil deducir que
.
Sabemos que
, por lo tanto,
, de donde
.
Por otro lado, como
, se tiene que
. Pero ya sabemos que
, por lo que
o lo que es lo mismo,
.
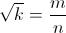
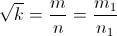
Si llamamos
y
, lo que acabamos de probar es lo siguiente. Si
con
y
, entonces existen otro par de naturales
tales que
,
y
. Repitiendo este proceso, partiendo de
, encontraremos otro par de naturales
tales que
,
y
.Como podéis imaginar, este proceso lo podemos repetir ad infinitum... y encontraríamos sucesiones infinitas de naturales estrictamente decrecientes, lo que es una clara contradicción, pues los números naturales tienen un primer elemento.
Por consiguiente, la hipótesis de partida ha de ser falsa y nunca podremos encontrar números naturales
tales que
, o dicho de otro modo,
es irracional.
Este método de demostración, en realidad, es una variante de la inducción que se conoce como descenso infinito y fue desarrollado por Pierre de Fermat. De hecho es posible que hayas visto antes otra demostración por descenso infinito... la de la irracionalidad de
basada en la paridad. Y si tienes un poco de paciencia... quizás te enseñe alguna que otra curiosa demostración en este mismo blog.
Fuentes:
Infinite descent en Wikipedia (En).
Y. Sagher, What Pythagoras could have done, Amer. Math. Monthly 95 (1988), 117.
