Revista Ciencia

Sumando voy sumando vengo

Publicado el 15 febrero 2012 por Eliatron

Sumando voy sumando vengo

Imagen extraída de Wikipedia

Os voy a plantear un reto (extraído de Spiked Math). Si te dan a elegir entre 1 Euro,
Sumando voy sumando vengo
Euros ó
Sumando voy sumando vengo
Euros... ¿qué elegirías? Antes de responder, quizás te convenga seguir leyendo este post, ya que en él vamos a sumar.
Sumar muchos números suele ser tarea difícil... y si encima tenemos infinitos de ellos... ya la cosa se complica. Sin embargo, hay sumas finitas e infinitas que son sencillas de calcular y que suelen aparecer, además con frecuencia. Hace ya tiempo que vimos en este mismo blog cómo sumar uno de esos tipos de series, las series telescópicas. Te animo a que leas esa entrada también.
Hoy nos vamos a centrar en otros dos tipos de series muy conocidas: las geométricas y las aritmético-geométricas. Y para hacer las cosas sencillas, vamos a sumar desde una cantidad finita de términos consecutivos hasta la serie completa.
Comencemos con las primeras. ¿Qué es una progresión geométrica? Fácil, aquélla en la que el cociente entre dos términos consecutivos siempre es el mismo:
Sumando voy sumando vengo
. O dicho de otro modo, una progresión geométrica es la que cada término se consigue a partir del anterior, multiplicándolo por una constante
Sumando voy sumando vengo
. El término general será
Sumando voy sumando vengo
para cada
Sumando voy sumando vengo
, donde
Sumando voy sumando vengo
recibe el nombre de razón de la progresión geométrica y
Sumando voy sumando vengo
es el valor inicial.
Bien, ahora vamos a sumar una cantidad finita de términos consecutivos. Llamemos
Sumando voy sumando vengo
donde
Sumando voy sumando vengo
; de esta forma,
Sumando voy sumando vengo
. Si multiplicamos por
Sumando voy sumando vengo
, tendremos que
Sumando voy sumando vengo
y ahora sólo queda restar los términos que tengan la misma potencia de
Sumando voy sumando vengo
para obtener que
Sumando voy sumando vengo
, de donde
Sumando voy sumando vengo
, lo que nos da la fórmula que se enseña de memoria: el último elemento por la razón menos el primero dividido entre la razón menos 1.
¿Y qué pasa si sumamos hasta el infinito? Pues que sólo hay que conseguir que
Sumando voy sumando vengo
en la fórmula anterior. Y aquí la cosa depende. Vamos a centrarnos en los casos en que la razón de la serie es positiva. Si
Sumando voy sumando vengo
(en realidad es cierto si
Sumando voy sumando vengo
) entonces
Sumando voy sumando vengo
y tendríamos que la suma de los infinitos términos divergería a
Sumando voy sumando vengo
; si
Sumando voy sumando vengo
, entonces
Sumando voy sumando vengo
y nuestra progresión aritmética sería constante igual a
Sumando voy sumando vengo
, por lo que la suma de infinitos
Sumando voy sumando vengo
daría otra vez
Sumando voy sumando vengo
(por cierto, el caso
Sumando voy sumando vengo
nos da un caso extraño que ni converge ni diverge); finalmente, si
Sumando voy sumando vengo
(válido también si
Sumando voy sumando vengo
) se tiene que
Sumando voy sumando vengo
de donde la suma de los infinitos términos será
Sumando voy sumando vengo
, es decir, el primer término dividido entre 1 menos la razón, que es la fórmula que se enseña.
Pasemos ahora al segundo tipo de progresiones, las aritmético-geométricas. Se trata de una mezcla entre las geométricas y las aritmáticas... bueno, mejor veamos su término general:
Sumando voy sumando vengo
con
Sumando voy sumando vengo
.Para sumarla vamos a utilizar el mismo truco anterior. Llamamos
Sumando voy sumando vengo
, entonces
Sumando voy sumando vengo
. Si ahora restamos los términos con las mismas potencias de
Sumando voy sumando vengo
, llegamos a que
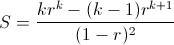
Sumando voy sumando vengo
. Y resulta que lo que tenemos entre paréntesis es la suma de términos consecutivos de una progresión geométrica, que ya sabemos lo que vale:
Sumando voy sumando vengo
. Ahora basta despejar
Sumando voy sumando vengo
y obtener que
Sumando voy sumando vengo
.
Si pretendemos ver qué ocurre si sumamos infinitos términos de una sucesión aritmético geométrica, sólo hay que tener en cuenta que
Sumando voy sumando vengo
y
Sumando voy sumando vengo
se comportan igual cuando
Sumando voy sumando vengo
, es decir, convergen a 0 si
Sumando voy sumando vengo
y divergen a
Sumando voy sumando vengo
si
Sumando voy sumando vengo
. Por lo tanto, la suma de infinitos términos de una sucesión aritmético-geométrica que comienza en
Sumando voy sumando vengo
es
Sumando voy sumando vengo
.
Volvamos al problema del principio: ¿qué elegirías? ¿1 Euro,
Sumando voy sumando vengo
Euros ó
Sumando voy sumando vengo
Euros? Ahora ya tienes las herramientas para responder. Pero procura no utilizar las fórmulas, sino aplicar el método para obtenerlas, para resolver este acertijo.
Suerte.
Tito Eliatron Dixit 
 
Si te ha gustado esta entrada, puedes dejar un comentario directamente en Tito Eliatron Dixit.
 

Volver a la Portada de Logo Paperblog