El Papiro de Ahmes, conocido también como Papiro Rhind, es un papiro egipcio escrito por el escriba Ahmes (A’h-mosè) a mediados del siglo XVI a. C., durante el reinado de Apofis I. Está redactado en escritura hierática (tipo de escritura que permitía a los escribas del Antiguo Egipto escribir de forma rápida simplificando los jeroglíficos) y mide unos seis metros de longitud por 32 cm de anchura.
Imagen del Papiro de Ahmes o Papiro Rhind. La imagen es de dominio público y está extraida de wikipedia.
El papiro contiene 87 problemas matemáticos con cuestiones aritméticas básicas, fracciones, cálculo de áreas, volúmenes, progresiones, repartos proporcionales, regla de tres, ecuaciones lineales y trigonometría básica.
Pues bien, en este papiro se encuentra una referencia indirecta a π.
En el problema numerado como 50, se dice: “Un campo circular tiene un diámetro de 9 khet (1 khet ≈ 50 m). ¿Cuál es su área?”
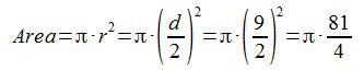
En la actualidad, calcularíamos fácilmente dicho área diciendo que:

donde r es el radio del círculo y d es el diámetro.
Pero por aquel entonces, hablamos de mediados del siglo XVI a. C., no se conocía π como tal, y menos con el valor actual. Sin embargo, lo interesante de esta historia es que el propio papiro proporciona el sistema para calcular el área, mediante la expresión:

siendo d el diámetro.
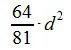
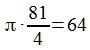
Como d = 9, igualando ambas expresiones, se tiene que

Es decir, tenemos que

de donde, despejando π, obtenemos:

tenemos por tanto una aproximación a π que, teniendo en cuenta que hablamos de mediados del siglo XVI a. C., no está nada mal.
Imagino que alguien se habrá preguntado de dónde sale la expresión que aparece en el papiro de Ahmes. Pues bien, esta expresión viene de considerar el escriba Ahmes, autor del papiro, que un cuadrado de lado 8 equivale en superficie a un círculo de diámetro 9.


