Por primera vez, un grupo de físicos ha logrado cartografiar en detalle las interacciones que tienen lugar en el interior de un protón.

Las interacciones fundamentales de la naturaleza, también conocidas como fuerzas fundamentales, son 4 interacciones que rigen el comportamiento de la materia. Las 4 interacciones son la gravitatoria, la electromagnética, la nuclear fuerte y la nuclear débil. Cada una de estas fuerzas tiene un dominio a cierta escala y desempeña un papel en procesos físicos que van desde la formación de las galaxias hasta losfenómenos atómicos
Dentro del átomo, las interacciones más importantes son la electromagnética, la nuclear fuerte y la nuclear débil. Mientras que la interacción electromagnética mantiene a los electrones alrededor del núcleo, la interacción fuerte se encarga de mantener unidos a los protones y neutrones en el núcleo. Como los protones deberían repelerse, es la fuerza nuclear fuerte la que vence esta repulsión y hace que el núcleo sea estable. El protón es un tipo de partícula subatómica, es decir, una de las partículas mínimas que constituyen al átomo. Pertenece a la familia de los fermiones y posee carga eléctrica positiva. Un nuevo estudio de la Universidad de Adelaida muestra cómo actúa la interacción fuerte en un protón. Mediante simulaciones basadas en una técnica llamada cromodinámica cuántica de celosía,los investigadores han podido trazar un mapa de cómo se distribuye la fuerza fuerte en el interior del protón. Es la primera vez que se hace un mapa detallado de la interacción fuerte.
El núcleo del átomo
Un átomo está formado por partículas como electrones, protones y neutrones. Mientras que los electrones orbitan alrededor del núcleo, el núcleo del átomo está formado por protones y neutrones.Tanto los protones como los neutrones están formados por partículas aún más pequeñas llamadas quarks. Están formados por tres quarks cada uno y sólo cambia el quark que forma el trío. Los quarks interactúan entre protones y neutrones debido a la interacción fuerte mediada por el gluón. Es posible estudiar el interior del átomo e incluso la distribución de los protones utilizando aceleradores de partículas como el LHC Incluso puede obtenerse información detallada sobre los quarks a partir de experimentos en aceleradores que cartografían las interacciones.
Interacción fuerte
Una de las interacciones que se estudia en estos aceleradores es la interacción fuerte que mantiene unidos a los quarks dentro de los protones y neutrones.Esta interacción fuerte también mantiene estable el núcleo al superar la repulsión causada por la interacción electromagnética.La interacción está mediada por los gluones, que llevan la llamada carga de color e interactúan con los quarks. Curiosamente, la interacción fuerte se intensifica a medida que los quarks se alejan. Es similar a cuando se tira de una goma elástica: cuanto más se tira, más resistencia se encuentra.Esta propiedad de la interacción fuerte impide que los quarks se separen individualmente, lo que se conoce como confinamiento de quarks. La interacción fuerte también es responsable de laliberación de energía en las reacciones nucleares.
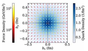
Observando el protón
Recientemente, en un artículo publicado en Physical Review Letters, los físicos utilizaron una técnica computacional llamada cromodinámica cuántica de red para cartografiar las interacciones en el interior del protón. Esta técnica permite simular y comprender la interacción fuerte, especialmente cómo se distribuye internamente.

La cromodinámica cuántica reticular es una técnica que divide el espacio y el tiempo en una fina cuadrícula. De este modo es posible analizar cómo varía la fuerza nuclear fuerte en distintas regiones del protón Esto permite estudiar la estructura interna de las partículas subatómicas, especialmente neutrones, protones y sus componentes, los quarks.
¡La fuerza de 10 elefantes en 1 átomo!
En este artículo, los investigadores lograron cartografiar la intensidad de la interacción fuerte a escalas subatómicas. Descubrieron que la intensidad es extremadamente alta en el interior del protón, con valores que alcanzan el medio millón de newtons. Según los investigadores, la intensidad equivale a la masa de 10 elefantes comprimidos en un espacio más pequeño que un núcleo atómico.
El mapa es el más detallado jamás realizado La idea es utilizar el mapa de las fuerzas internas de los átomos para comprender la dinámica del núcleo Principalmente para estudiar cómo se comportan estas partículasy cómo pueden aplicarse en diversos ámbitos, como la medicina, por ejemplo.
