Una ecuación de primer grado es una combinación de números e incógnitas que se caracteriza porque el exponente mas alto es 1. Gráficamente sus soluciones son numeros, rectas o planos dependiendo del numero de incognitas, y son proporcionalmente lineal.
Recordemos que una incógnita es una variable que representa un valor o numero desconocido.
Ecuación con una incógnita
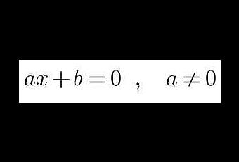
Una ecuación con una incógnita es la mas elemental de las ecuaciones, su solución es un numero, o gráficamente una recta paralela al eje x en el plano.
La forma general es:
Ejemplo 1:
Resolver una ecuación de primer grado implica que se debe de aislar la incógnita de los números, es decir, colocar en un lado de la igualdad la incógnita y en el otro lado de la igualdad el numero que representara el resultado de la operación.
Como tenemos x+1=0, se desea aislar "x", lo que quiere decir que deseamos trasladar "1" al otro lado de la igualdad. Entonces la única forma de hacer es restar "-1" a ambos lados o miembros de la ecuación. Sumar o restar a ambos lados de la ecuacion no va a cambiar la igualdad:
De manera que el resultado es x=-1, lo anterior es la forma correcta de resolver, por que esta la forma mas simplificada de resolver, ya sea por cuestiones de comodidad o tiempo, a continuación resolvemos de forma simplificada la ecuación x+1=0
Lo que ese hizo fue tomar +1 y trasladarlo al otro miembro o lado opuesto de la igualdad, pero como esta trasladándose se debe hacer con el signo cambiado, como 1 es positivo originalmente, entonces en el otro lado sera el mismo numero con el signo opuesto o negativo(-1). entonces x=-1
Ejemplo 2:

- La idea es siempre reunir las incógnitas de un lado y los números del otro lado para conseguir el valor que satisfaga la igualdad

- Aqui no hay solucion posible. Quiere decir que no hay numero que pueda hacer cumplir la igualdad
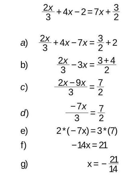
Ejemplo 4:

- en e) el 2 como estaba diviendo en un lado pasa al otro lado multiplicando, por eso 2*(-7x), e igualmente con 3, que estaba diviendo a (-7x), pasa al otro lado a multiplicar 3*(7)
En las ecuaciones cuando se quiere pasar un numero al otro lado de la igualdad hay que tener en cuenta dos cosas en cuanto a la operación matemática:
- Si esta sumando en un lado, este pasara al otro lado restando a los elementos de ese lado, y viceversa.
- Si esta multiplicando en un lado, pasara al otro lado dividiendo a todos los elementos de ese lado, y viceversa.
Hay que tener en cuenta la ley de los signos para multiplicación y división
Ley de signos Multiplicación





