Una ecuación radical es aquella en la que esta implicada la raíz cuadrada en cualquier forma. Recordemos la raíz cuadrada es una de las operaciones mas elementales de la matemática y sobre del calculo matemático y el complemento inverso a la exponenciación. Siendo la exponenciación la clave para resolver ecuaciones en los que los radicales estén implicados. El ejemplo mas simple de una ecuación radical es de la forma:
![Rendered by QuickLaTeX.com \[ \sqrt[]{x+1} = 2 \]](https://m1.paperblog.com/i/682/6827197/ecuaciones-radicales-L-C77qNt.png)
Siempre la idea de resolver ecuaciones, en general, es aislar las incógnitas, en lo posible, para poder conocer su valor. En una ecuación radical no se puede operar sobre la variable a menos que quitemos el radical. Como La exponencial es el inverso a la radicacion, simplemente elevamos los miembros de la ecuación al indice del radical, que usualmente es 2 o al cuadrado.
![Rendered by QuickLaTeX.com \[ \sqrt[]{x+1} = 2 \]](https://m1.paperblog.com/i/682/6827197/ecuaciones-radicales-L-6_0cTI.png)
![Rendered by QuickLaTeX.com \[ \left( \sqrt[]{x+1} \right)^2 = 2^2\]](https://m1.paperblog.com/i/682/6827197/ecuaciones-radicales-L-pjIO_C.png)
Como la raíz se cancela con el exponente, se neutraliza la raíz y ya se puede operar como cualquier ecuación.
![Rendered by QuickLaTeX.com \[ x+1 = 4\]](https://m1.paperblog.com/i/682/6827197/ecuaciones-radicales-L-so7dsS.png)
![Rendered by QuickLaTeX.com \[ x = 4-1\]](https://m1.paperblog.com/i/682/6827197/ecuaciones-radicales-L-fNsNlm.png)
![Rendered by QuickLaTeX.com \[ x = 3\]](https://m1.paperblog.com/i/682/6827197/ecuaciones-radicales-L-1THcxn.png)
El resultado para esta ecuación es x=3. que fácilmente se puede comprobar.
Ejemplo 1:
![Rendered by QuickLaTeX.com \[ \sqrt[]{2x+3} = -4 \]](https://m1.paperblog.com/i/682/6827197/ecuaciones-radicales-L-pYgZkD.png)
![Rendered by QuickLaTeX.com \[ \left( \sqrt[]{2x+3} \right)^2 = (-4)^2\]](https://m1.paperblog.com/i/682/6827197/ecuaciones-radicales-L-WIAj9R.png)
![Rendered by QuickLaTeX.com \[ 2x+3 = 16\]](https://m1.paperblog.com/i/682/6827197/ecuaciones-radicales-L-CFN1iE.png)
![Rendered by QuickLaTeX.com \[ 2x = 16-3\]](https://m1.paperblog.com/i/682/6827197/ecuaciones-radicales-L-GMxMq0.png)
![Rendered by QuickLaTeX.com \[ 2x = 13\]](https://m1.paperblog.com/i/682/6827197/ecuaciones-radicales-L-B0WM2h.png)
![Rendered by QuickLaTeX.com \[ \boldsymbol{x=\frac{13}{2}} \]](https://m1.paperblog.com/i/682/6827197/ecuaciones-radicales-L-_58KrY.png)
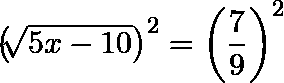
Ejemplo 2:
![Rendered by QuickLaTeX.com \[ \sqrt[]{5x-10} = \frac{7}{9} \]](https://m1.paperblog.com/i/682/6827197/ecuaciones-radicales-L-ctOuTc.png)
![Rendered by QuickLaTeX.com \[ \left( \sqrt[]{5x-10} \right)^2= \left( \frac{7}{9} \right)^2 \]](https://m1.paperblog.com/i/682/6827197/ecuaciones-radicales-L-2H_L7E.png)
![Rendered by QuickLaTeX.com \[ 5x-10 = \frac{49}{81} \]](https://m1.paperblog.com/i/682/6827197/ecuaciones-radicales-L-oxlSyE.png)
![Rendered by QuickLaTeX.com \[ 5x = \frac{49}{81} + 10 \]](https://m1.paperblog.com/i/682/6827197/ecuaciones-radicales-L-Kthuzq.png)
![Rendered by QuickLaTeX.com \[ 5x = \frac{49+810}{81} \]](https://m1.paperblog.com/i/682/6827197/ecuaciones-radicales-L-GdohCe.png)
![Rendered by QuickLaTeX.com \[ 5x = \frac{859}{81} \]](https://m1.paperblog.com/i/682/6827197/ecuaciones-radicales-L-JLroMd.png)
![Rendered by QuickLaTeX.com \[ \boldsymbol{x = \frac{859}{405}} \]](https://m1.paperblog.com/i/682/6827197/ecuaciones-radicales-L-aCX3KE.png)
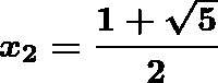
Hasta ahora se ha resuelto ecuaciones de grado 1, sin embargo, lo usual es conseguir ecuaciones de 2 grado o mas, lo que puede conllevar a cierto numero de soluciones incluyan valores imaginarios, por lo que hay que saber elegir la solución apropiada que pertenezca al conjunto real.
Ejemplo 3:
![Rendered by QuickLaTeX.com \[ \sqrt[]{x+1} = x \]](https://m1.paperblog.com/i/682/6827197/ecuaciones-radicales-L-IpeGGH.png)
![Rendered by QuickLaTeX.com \[ \left( \sqrt[]{x+1} \right)^2 = x^2\]](https://m1.paperblog.com/i/682/6827197/ecuaciones-radicales-L-R63Z6G.png)
![Rendered by QuickLaTeX.com \[ x+1 = x^2 \]](https://m1.paperblog.com/i/682/6827197/ecuaciones-radicales-L-KYO_y2.png)
![Rendered by QuickLaTeX.com \[ -x^2+x+1 = 0\]](https://m1.paperblog.com/i/682/6827197/ecuaciones-radicales-L-r9YKZc.png)
![Rendered by QuickLaTeX.com \[ x = \frac {-b \pm \sqrt {b^2 - 4ac}}{2a} \]](https://m1.paperblog.com/i/682/6827197/ecuaciones-radicales-L-FTXc5c.png)
![Rendered by QuickLaTeX.com \[ x_1 = \frac {-1 + \sqrt {1^2 - 4(-1)(1)}}{2(-1)} \]](https://m1.paperblog.com/i/682/6827197/ecuaciones-radicales-L-wciW7F.png)
![Rendered by QuickLaTeX.com \[ x_1 = \frac {-1 + \sqrt {1 + 4}}{-2} \]](https://m1.paperblog.com/i/682/6827197/ecuaciones-radicales-L-Q77AuU.png)
![Rendered by QuickLaTeX.com \[ \boldsymbol{x_1 = \frac {1 - \sqrt {5}}{2}} \]](https://m1.paperblog.com/i/682/6827197/ecuaciones-radicales-L-8FWtfO.png)
![Rendered by QuickLaTeX.com \[ \vspace{0.5cm} \]](https://m1.paperblog.com/i/682/6827197/ecuaciones-radicales-L-hjuKo_.png)
![Rendered by QuickLaTeX.com \[ x_2 = \frac {-1 - \sqrt {1^2 - 4(-1)(1)}}{2(-1)} \]](https://m1.paperblog.com/i/682/6827197/ecuaciones-radicales-L-vWrZy8.png)
![Rendered by QuickLaTeX.com \[ x_2 = \frac {-1 - \sqrt {1 + 4}}{-2} \]](https://m1.paperblog.com/i/682/6827197/ecuaciones-radicales-L-H7HWuN.png)
![Rendered by QuickLaTeX.com \[ \boldsymbol{x_2 = \frac {1 + \sqrt {5}}{2}} \]](https://m1.paperblog.com/i/682/6827197/ecuaciones-radicales-L-y71mZS.png)
