Gustier
MIS BLOGS
-
gustiermellow
https://gustiermellow.website/
website de contenido general
ÚLTIMOS ARTÍCULOS (12)
-
Ecuaciones Radicales
Una ecuación radical es aquella en la que esta implicada la raíz cuadrada en cualquier forma. Recordemos la raíz cuadrada es una de las operaciones mas... Leer el resto
Publicado el 14 noviembre 2021 -
Manifiesto Poshumanista
Los maquinas complejas son maquinas de silicio, y los humanos son maquinas de carbono, tanto uno como el otro sus componentes pertenecen a la misma tabla... Leer el resto
Publicado el 09 noviembre 2021 -
Ecuaciones Exponenciales
Las ecuaciones exponenciales se caracterizan por tener incógnitas en la parte del exponente de las bases numéricas. tienen la forma siguiente: a es un numero... Leer el resto
Publicado el 08 noviembre 2021 -
Nausicaä of the valley of the Wind
Nausica es una animes-películas de los 80s del siglo pasado que son una verdadera obra maestra, al igual que los vinos, mejora mas y mas con el tiempo, ahora... Leer el resto
Publicado el 02 noviembre 2021 -
Monomios
Los monomios son expresiones algebraicas polinomiales singulares formado por 2 elementos principales: Coeficiente, parte literal que a su vez se divide en... Leer el resto
Publicado el 02 noviembre 2021 -
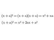
Productos Notables
Definición de Producto notable Es un producto cuya resultado puede ser escrito directamente usando unas reglas definidas sin necesariamente desarrollar el... Leer el resto
Publicado el 31 octubre 2021 -
Ecuación de Drake
"La idea de la Ecuacion de Drake es saber cuantas civilizacion con especies cósmicas como nosotros han tenido la fortuna de que su planeta se encuentre en... Leer el resto
Publicado el 29 octubre 2021 -
Sistemas de ecuaciones
con 2 incógnitas Los sistemas de ecuaciones con dos incógnitas son aquellas en la que están involucrados dos ecuaciones formado por números, al menos dos... Leer el resto
Publicado el 29 octubre 2021 -
Ecuaciones de Primer Grado
Una ecuación de primer grado es una combinación de números e incógnitas que se caracteriza porque el exponente mas alto es 1. Gráficamente sus soluciones son... Leer el resto
Publicado el 27 octubre 2021 -
El virus COVID-19: ¿natural o creado?
"Yo pienso que el virus COVID tiene origen natural, en China muto un virus dentro de algún animal salvaje, este se contagio a un humano y empezó el desastre... Leer el resto
Publicado el 26 octubre 2021 -
Bucles
Los Bucles en general son acciones repetitivas que se mantienen en ese estado mientras una condición se cumple, al momento de cambiar a una condición diferente... Leer el resto
Publicado el 24 octubre 2021 -
La lista de Reyes de sumeria
Sumeria es la primera gran civilización importante de la historia, con una complicada historia que ha evolucionado de muchas formas, en mucho de historia... Leer el resto
Publicado el 23 octubre 2021
