Los monomios son expresiones algebraicas polinomiales singulares formado por 2 elementos principales: Coeficiente, parte literal que a su vez se divide en variable y grado.
Ejemplos de Monomios: 3x² , 16, 2xy, 4x²y², z. Todos los anteriores son monomios porque tienen unicos, y tienen Coficiente y parte literal . La parte literal esta forma por la variable y el grado
3x². Coeficiente=3 Parte literal=x² variable=x grado=2
16=16x⁰ Coeficiente=16 Parte literal=x⁰ variable=x grado=0
2xy Coeficiente=2 Parte literal=xy, variable=xy, grado=2, debido a que se suman los exponentes de las incógnitas
4x²y² Coeficiente=4 Parte literal=x²y² variable=xy grado=4
z Coeficiente=1 Parte literal=z variable=z grado=1
Binomio
Es la suma o resta de dos monomios. Ejemplo: 2x+1, -5xyz-1
Trinomio
Es suma de tres monomios. Ejemplo: x²-5x+2
Cuatrinomio
Es la suma de 4 monomios. Ejemplo: x³+x²+x+1
Suma y Resta de Monomios
La condición principal para sumar, y también para restar monomios, son que tienen que tener iguales partes literales, de manera que son los coeficientes los que se estas sumando o restando. Ejemplos:
- x²+x²=(1+1)x²
- 2y+y=(2+1)y=3y
- 2x+2y=2x+2y , no se puede sumar parte literal son diferentes
- 4xy+5xy=(4+5)xy
- x²z+7x²z=(1+7)x²z
- 3x²z²+7x²z=3x²z²+7x²z , no se puede sumar parte literal son diferentes
- 2y-7y=(2-7)=-5y
- -7yz+5yz=(-7+5)yz=-2yz
- 2y-3yx=2y-3yx. No se puede restar, las partes literales son diferentes.
- 4xy⁺4xy-7xy=(4+4-7)xy=xy
Multiplicación de Monomios
La multiplicación de monomios Puede ser:
Constante Multiplicado por monomio: Ejemplos
- 4(x)=4x
- -7(yx²)=-7yx²
- 3(xyz)=3xyz
- -2(7x²y²z²)=-14x²y²z²
- 5(2x²y³)=10x²y³)
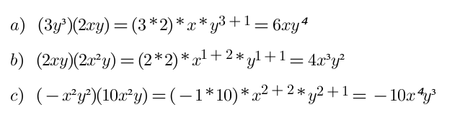
Monomio Multiplicado por monomio: Ejemplos:
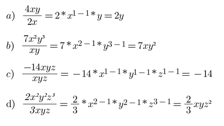
División de monomios
La condición de los monomios es que el exponente del numerador o dividendo debe ser mayor o igual que el exponente del denominador o divisor, Ejemplos:



