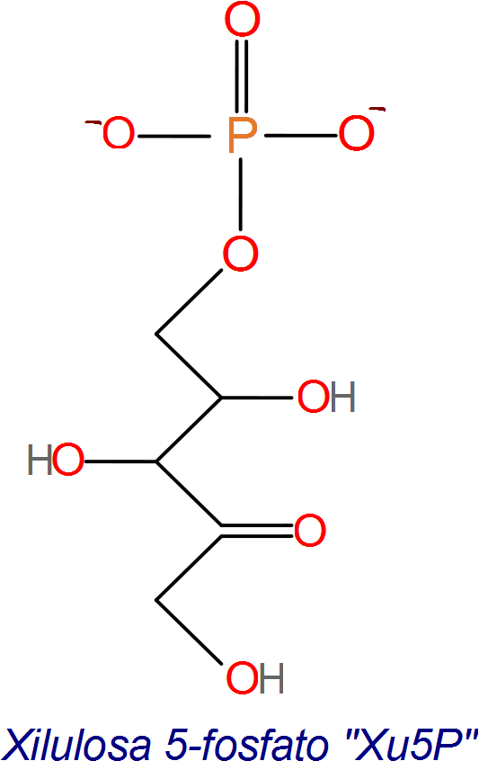
Paso 4, de la regeneración de RuBP, síntesis de Xu5P
El ciclo de Calvin debe hacer un segundo inicio para formar otras dos moléculas de GAP. En este punto se han fijado dos moléculas de dióxido de carbono.
La translocasa no solo corta la F6P, también transfiere el intermediario de 2 carbonos a una molécula de GAP nueva sintetizando de este modo un azúcar de 5 carbonos llamado xilulosa-5-fosfáto “Xu5P”.
