Definición de Producto notable
Es un producto cuya resultado puede ser escrito directamente usando unas reglas definidas sin necesariamente desarrollar el proceso resolutivo de la operación algebraica.
los productos notables son variados y los mas importantes pueden ser :
- Binomios al cuadrado
- Binomios conjugados
- Cubo de Binomios
- Muchas otras clases de identidades como la de Newton, Gauss, etc
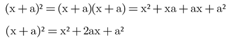
Binomio al cuadrado
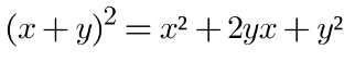
Los binomios al cuadrados son de la forma (x+y)². Desarrollando algebraicamente tenemos:
Para desarrollar los Binomios al cuadrado como producto notables elevamos al cuadrado el primer termino (x)² mas el producto de 2 multiplicado por el primer termino y multiplicado por el segundo termino mas el cuadrado del segundo termino (y)²:
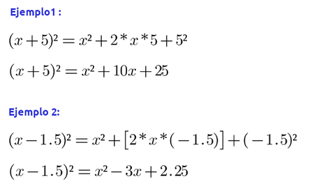
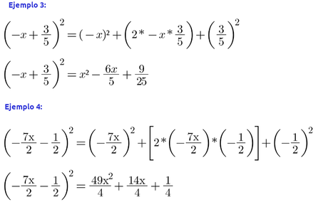
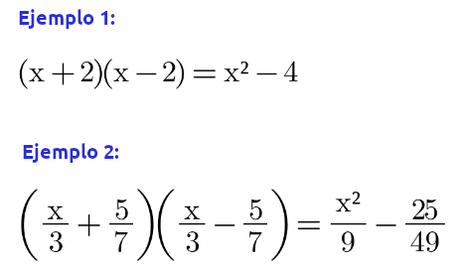
Ejemplos:
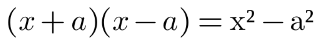
Binomios conjugados
Los binomios conjugados es la multiplicación de 2 binomios parecidos cuya única diferencia es que el el segundo términos de un binomio tiene un signo diferente con respecto al otro binomio.
El producto notable de un Binomio conjugado es el cuadrado del primer termino menos el cuadrado del segundo termino.
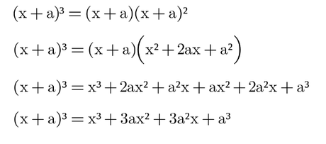
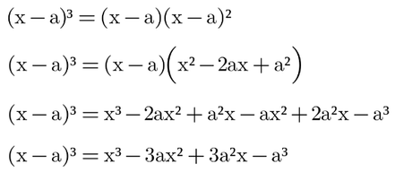
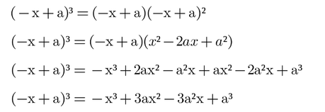
Binomios al cubo
los binomios al cubo es un binomio multiplicado 3 veces por si mismo:
Variante 1:
Variante 2:
Variante 3:
Variante 4:
Ahora podemos establecer los productos notables para cada variante
El producto notable para binomios al cubo esta dado por la suma del cubo del primer termino + 3*primer termino al cuadrado*segundo termino + 3*primer termino *segundo termino al cuadrado + al segundo termino elevado al cubo. Los signos dependerán de la variante:
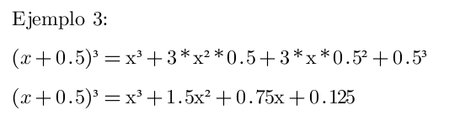
Ejemplo:
Otro ejemplo usando solo productos notables:














