Sistemas de ecuaciones con 2 incógnitas
Los sistemas de ecuaciones con dos incógnitas son aquellas en la que están involucrados dos ecuaciones formado por números, al menos dos variables, y cuyo objetivo es encontrar una solución, lo que en términos gráficos es un punto o intersección entre las rectas. De aqui se desprende que existen 3 situaciones generales posibles:
- El sistema tiene solucion en un punto (x,y) del plano.
- El sistema tiene soluciones infinitas
- El sistema no tiene solucion.
Forma general, dado las incógnitas x,y los numeros a,b,c,d,e,f tenemos:
Para solucionar un sistema de ecuaciones, existen 4 métodos para resolver un sistema de ecuaciones.
- Método de Reducción
- Método de Igualación
- Método de Sustitución
- Método de Determinantes
Método de Reducción
Como el sistema tiene dos incógnitas, la idea de este método es eliminar uno de las incógnitas para que quede la otra incógnita y poder despejarlo y conseguir la solución al sistema.
Ejemplo 1: Solucionar el sistema:
Como la idea es quitar una de las incógnitas, podemos elegir o "x" o "y", por conveniencia elegimos "y" porque 6y es el doble de 3y. Entonces la idea es manipular la ecuación de tal manera que 3y de la primera ecuación se convierta en -6y, tomamos la primera ecuación y operamos:
Como multiplicamos por (-2) a ambos lados, la igualdad de la ecuación no cambia pero obtendremos -6y, que es lo que buscamos y con este obtendremos un sistema equivalente:
De manera que podemos ahora sumar miembro a miembro las ecuaciones como sigue:
Sumamos miembro a miembro como una suma cualquiera, el 6y se elimina quedando --9x+0=3, entonces:
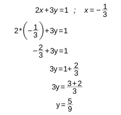
Despejamos y conseguimos el valor de x=-1/3, después de simplificar.
Como ya tenemos x=-1/3, Podemos sustituir el "x" en cualquier de las ecuaciones para despejar "y" obtener el valor de "y".
volvemos a sistema original y tomamos cualquier ecuación, por ejemplo la primera, de nuevo:
De manera que la solución es x=-1/3 , y=5/9, o sea, el punto del plano (x,y)=(-1/3, 5/9)
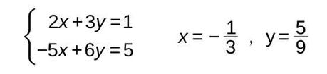
Confirmando resultado:
Para confirmar si la solución es real podemos sustituir los valores en las dos ecuaciones para confirmar que se cumpla la igualdad:
Sustituimos las variables x,y con los valores respectivos y comprobemos el sistema:
Método de Igualación
- En un sistema de igualación se despeja la misma incógnita, puede ser "x" o "y", pero tiene que ser la misma incógnita.
- Básicamente se igualan las variables, como "x=x" o "y=y", y se sustituyen por las incógnitas despejadas respectivas y como queda la otra incógnita, se despeja ese para obtener su valor.
- Con la incógnita despejada se sustituye su valor en cualquier de las ecuaciones originales y se despeja la otra incógnita.
Ejemplo: Se tiene el siguiente sistema
Se despejan la misma incógnita en cada ecuación:
Si igualan x=x: entonces se despeja la otra incognita:
Se halla que y=2/11, y se procede a encontrar "x", sustituyendo y=2/11 en cualquier de las ecuaciones originales para despejar "x"
Tenemos que la soluciones x=60/11, y=2/11
Método de sustitución
El método de sustitución consiste en tomar un ecuación y despejar una de las incógnitas, y luego sustituir esta incógnita A en la otra ecuación, para obtener una ecuación de primer grado con una incógnita B, entonces podemos despejarlo para obtener su valor. Con incógnita B con su valor, podemos sustituir en cualquier ecuación original para obtener la incógnita A, y obtener el resultado del sistema.
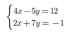
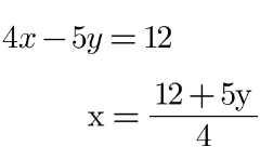
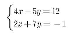
Ejemplo: tenemos el siguiente sistema:
Tomamos la primera ecuación y despejamos x:
Sustituimos "x" en la segunda ecuación:
Como ya tenemos y=-14/19, entonces sustituimos en cualquier ecuación para obtener "x":
la solucion es x= 79/38, y=-14/19
Método de Determinantes
A diferencia de los anteriores métodos que se basan en el despeje algebraico, aquí se usan las determinantes para hallar el valor de las incógnitas o variables.
El determinante es un valor que esta relacionado o define a una matriz cuadrada, recordemos que la matriz es un arreglo de números formado en filas y columnas.
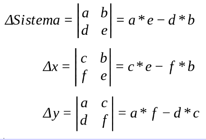
En el caso de los sistemas de ecuaciones se obtiene la determinante principal del sistema y luego determinantes característica de cada incógnita que exista en el sistema, en este caso dos, que corresponde a "x" y "y"
dado un sistema:
Definimos la forma general de las determinantes para un sistema de 2 incógnitas, en total serian 3 determinantes, una determinante del sistema mas dos determinantes mas que corresponden a x, y.
Entonces los valores para "x", "y" son:
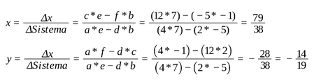
Usando el ejercicio anterior, aplicamos las determinantes:
Obteniéndose x=79/38 , y=-14/19, que son lo valores que satisfacen al sistema.
























