Eliatron
Descripción
compartido
MIS BLOGS
-
Tito Eliatron Dixit
http://eliatron.blogspot.com/
Blog de divulgación sobre matemáticas principalmente y alguna que tra ciencia, siempre con un toque de humor
ÚLTIMOS ARTÍCULOS (474)
-
La gente de Matemáticas
La gente de Matemáticas son las personas que tienen especial amor y pasión por crear, enseñar o usar matemáticas. Claudi Alsina, en Vitaminas Matemáticas Para... Leer el resto
Publicado el 03 octubre 2011 CIENCIA -
¿Un terrenito en México?
Para finalizar la semana y que tengáis algo en qué pensar los próximos días, aquí os dejo un curioso problema sobre un terrenito. Roberto quiere un terreno,... Leer el resto
Publicado el 30 septiembre 2011 CIENCIA -
Un conjunto que no se pude medir
Desde que somos pequeños, la idea de "medir" ha estado siempre entre nuestras preferidas. ¿Quien no se ha medido (la altura) durante varios días y poniendo... Leer el resto
Publicado el 21 septiembre 2011 CIENCIA -
Una síntota es
Una asíntota es como el culo de una stripper. Puedes acercarte todo lo que quieras, pero sin tocar.Mike, autor de Spiked Math Para comenzar la Edición 2. Leer el resto
Publicado el 19 septiembre 2011 CIENCIA -
Callejero Matemático Español: especial RSME
Los antiguos seguidores de Tito Eliatron Dixit sabrán que hace ya algún año comencé a publicar una serie de entradas bajo el título Callejero Matemático Español... Leer el resto
Publicado el 14 septiembre 2011 CIENCIA -
Premios Bitacoras.com 2011
Como en años anteriores, desde Bitacoras.com ponen en marcha los Premios Bitacoras 2011 a los mejores blogs en diferentes categorías. Y en esta ocasión, Tito... Leer el resto
Publicado el 13 septiembre 2011 -
Un buen chiste matemático
Un buen chiste matemático es mejor, y contiene mejor matemática, que una docena de artículos mediocres.John E Littlewood, vía Pat's Blog Mal que me pese (ya... Leer el resto
Publicado el 12 septiembre 2011 -
Bonita demostración, pero...
Cuando entro en una clase, de vez en cuando me gusta vacilarles a los alumnos, pero desde un punto de vista constructivo. Por ello, de vez en cuando les cuento... Leer el resto
Publicado el 09 septiembre 2011 CIENCIA -
Carnaval de matemáticas 2.6: Del 19 al 25 de septiembre
El verano ya ha concluido el verano (al menos el verano boreal... y a lo que vacaciones se refiere). Pero no todo van a ser malas noticias. Leer el resto
Publicado el 06 septiembre 2011 CIENCIA -
El Chiringuito se va.
Ya llegó Septiembre, y con el nuevo mes, acaba la serie de entradas Matemáticas desde el Chiringuito que, como viene siendo habitual en los últimos años, durant... Leer el resto
Publicado el 01 septiembre 2011 CIENCIA -
Matemáticas desde el Chiringuito: Juego de mascotas
Con los números mentirosos aún en el recuerdo del dueño del chiringuito, otra vez volvimos a hablar, esta vez de las mascotas de los hijos y sobrinos. Y... Leer el resto
Publicado el 25 agosto 2011 CIENCIA -
Matemáticas desde el Chiringuito: Números mentirosos
Bueno, chicos, no me he olvidado de vosotros, es que llevo toda la semana a base de cervecitas y sardinitas tras las dos conversaciones especiales de la semana... Leer el resto
Publicado el 17 agosto 2011 CIENCIA -
Matemáticas desde el chiringuito: dos conversaciones imposibles
Tras mi contra-acertijo de la última vez, el dueño no paró de esquivarme durante esta semana. Sin embargo, ayer vino a verme preocupado. Resulata que hace un pa... Leer el resto
Publicado el 08 agosto 2011 CIENCIA -
Matemáticas desde el chiringuito: esto no es el polo sur
Bueno, pues aquín volvemos otra semana máscon nuesrto Chiringuito Matemático. Los más asiduos del lugar ya conocerán que el dueño de este chiringuito siempre... Leer el resto
Publicado el 02 agosto 2011 CIENCIA -
Matemáticas desde el Chiringuito: Oferta de apertura
Pues sí, señores, tal y como anunciamos (de forma un poco críptica, eso sí) hace unos días, el Chiringuito Matemático de Tito Eliatron Dixit vuelve. Gracias,... Leer el resto
Publicado el 23 julio 2011 CIENCIA -
V Premio Carnaval de Matemáticas: Junio 2011
Pues con un poco de retraso, pero al final ya tenemos recuento y ganador el V premio de entradas del Carnaval de Matemáticas en su Edición de Junio de 2011. Co... Leer el resto
Publicado el 18 julio 2011 CIENCIA -
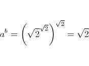
Potencias de irracionales: ln2 es irracional
Hay un clásico problema que nos pregunta si existen dos números irracionales y , de forma que sea racional. Una de las demostraciones más curiosas (y, para m... Leer el resto
Publicado el 14 julio 2011 CIENCIA -
Ángel o demonio
En estos días el ángel de la topología y el demonio del álgebra abstracta luchan por el alma de cada disciplina individual de las matemáticas.Hermann Weyl,... Leer el resto
Publicado el 11 julio 2011 CIENCIA -
Matemáticas para el verano
Esta entrada se publicó originalmente en MATBUS, blog de la biblioteca de la Facultad de Matemáticas de la Universidad de Sevilla en el que, gracias a Marta... Leer el resto
Publicado el 06 julio 2011 CIENCIA -
La razón de ser matemáticos
Saben, todos nos hicimos matemáticos por la misma razón: somos vagos Max Rosenlicht (matemático), vía Pat's Blog Bueno, me ha encantado esta jocosa cita de... Leer el resto
Publicado el 04 julio 2011 BLOG, HUMOR
