Liberal
compartido
MIS BLOGS
-
El liberalismo democrático
http://liberalismodemocratico.wordpress.com/
Una págna dedicada al liberalismo democrático y clásico.
ÚLTIMOS ARTÍCULOS (328)
-
“¿Quién eres tú para juzgar a nadie”? Sermón dominguero (I)
Uno de los versículos de la Biblia más confundidos y utilizados por gente que practica todo tipo de maldad es Mateo 7:1 — “No juzguéis, para que no seáis... Leer el resto
Publicado el 25 abril 2021 OPINIÓN, POLÍTICA, SOCIEDAD -
El juicio contra Chauvin: Estados Unidos es ya una republiqueta bananera
Ayer, día 20 de abril 2021, el mundo entero fue testigo de uno de los episodios jurídicos más esperpénticos de la historia de Estados Unidos y del mundo. Leer el resto
Publicado el 22 abril 2021 OPINIÓN, POLÍTICA, SOCIEDAD -
Del “milagro” tejano al infierno tejano
Chicos, hace años, como ustedes bien saben, escribí aquí sobre el “milagro” tejano y las mentiras de la derecha con respecto al progreso económico de ese... Leer el resto
Publicado el 19 febrero 2021 OPINIÓN, POLÍTICA, SOCIEDAD -
Trump es culpable: Que lo condenen YA
Si no castigan de forma ejemplar a Donald Trump, podriamos volver a ser testigos de un intento de golpe. Ruego que los senadores, republicanos y demócratas,... Leer el resto
Publicado el 13 febrero 2021 OPINIÓN, POLÍTICA, SOCIEDAD -
Día de infamia en Estados Unidos: la derecha terrorista ataca
Señores lectores: Al escribir esto, son las 0,57 de la noche en Nueva York horario local. Lo que he visto ayer en la capital, Washington D.C. Leer el resto
Publicado el 07 enero 2021 OPINIÓN, POLÍTICA, SOCIEDAD -
Fin de un año terrible: 2020
Estimados señores lectores: Interrumpo la serie sobre el liberalismo global para tratar el tema del fin de año. Creo que todos podríamos coincidir esta vez en... Leer el resto
Publicado el 31 diciembre 2020 OPINIÓN, POLÍTICA, SOCIEDAD -
Un nuevo orden mundial liberal: el equilibrio internacional (II)
Desde los tiempos más lejanos que yo recuerde, siempre se me criticó (determinados personajes y perfiles sociales) de ser “intervencionista”. Leer el resto
Publicado el 12 diciembre 2020 OPINIÓN, POLÍTICA, SOCIEDAD -
Una gran estrategia liberal para el nuevo orden mundial que se avecina (I)
Desde finales de la IIª Guerra Mundial, EEUU y sus aliados mantuvieron el centro de sus intereses nacionales principalmente a través de la creación y... Leer el resto
Publicado el 07 diciembre 2020 OPINIÓN, POLÍTICA, SOCIEDAD -
Día de Acción de Gracias en la pandemia global
Señores lectores: Como algunos saben, hoy es el “día del pavo” en EEUU, día puritano de Acción de Gracias. Debido a la gravísima pandemia que azota el país y... Leer el resto
Publicado el 26 noviembre 2020 OPINIÓN, POLÍTICA, SOCIEDAD -
Guerra contra la desinformación en la red
Señores, la guerra contra la desinformación en la red debe ser una de las principales prioridades digitales de la administración de Biden. Leer el resto
Publicado el 23 noviembre 2020 OPINIÓN, POLÍTICA, SOCIEDAD -
Perdió Trump: ¿Y ahora qué?
Señores, ha sido un año horrible, annus horribilis. Mucha gente sabe que es mucho más fácil hacer promesas antes que mantenerlas, mucho mejor sonar optimista... Leer el resto
Publicado el 19 noviembre 2020 OPINIÓN, POLÍTICA, SOCIEDAD -
Las elecciones en EEUU
Estimados señores lectores: Escribo una nota y comunicado breve para dar mi opinión sobre las elecciones en EEUU mañana martes 3 de noviembre, 2020. Leer el resto
Publicado el 03 noviembre 2020 OPINIÓN, POLÍTICA, SOCIEDAD -
¡Estoy bien!
Estimados señores lectores: Sólo un breve apunte porque hace un buen tiempo que no publico nada aquí. Debido al lamentable espectáculo de un troll en el artícul... Leer el resto
Publicado el 05 octubre 2020 OPINIÓN, POLÍTICA, SOCIEDAD -
Una pregunta matemática y los ingenieros la lían
Señores: Antes de entrar al tema, he visto que tengo montones de comentarios pendientes de respuesta. En las últimas semanas han pasado muchas cosas que me han... Leer el resto
Publicado el 18 agosto 2020 OPINIÓN, POLÍTICA, SOCIEDAD -
Surcos (1951): Muchas cosas siguen igual
Anoche, sábado, estaba yo dando una vuelta por los campos y un joven extranjero (originario de Polonia) me reconoció porque es empleado del único supermercado e... Leer el resto
Publicado el 19 julio 2020 OPINIÓN, POLÍTICA, SOCIEDAD -
Voy a desempolvar mi Commodore VIC-20
Señores, como lo prometido es deuda, os dije alguna vez que un día iba a enseñar la foto de mi famoso ordenador, el Commodore VIC-20 que todavía funciona. Leer el resto
Publicado el 16 julio 2020 OPINIÓN, POLÍTICA, SOCIEDAD -
Unos apuntes breves sobre la música que escucho
Como es bien conocido entre algunos, tengo unos criterios muy estrictos sobre lo que considero música aceptable para el hogar y la vida personal. Leer el resto
Publicado el 12 julio 2020 OPINIÓN, POLÍTICA, SOCIEDAD -
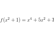
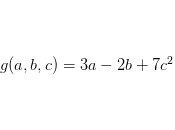
Más preguntas sobre funciones matemáticas
Como continuación de la clase magistral en la entrada anterior, aquí van más preguntas sobre funciones, sus dominios, recorridos y otros conceptos. Leer el resto
Publicado el 11 julio 2020 OPINIÓN, POLÍTICA, SOCIEDAD -
Repaso de las funciones matemáticas: Clase magistral
El famoso matemático escocés, Eric Temple Bell, dijo una vez que cualquier alumno impaciente de las matemáticas que se molesta por el simbolismo algebraico... Leer el resto
Publicado el 06 julio 2020 OPINIÓN, POLÍTICA, SOCIEDAD -
Advertencia
Hemos detectado la presencia de ciertos personajes del pasado que, por ser unos inadaptados morales y sociales, es decir, por su naturaleza ANTIsocial, fueron... Leer el resto
Publicado el 03 julio 2020 OPINIÓN, POLÍTICA, SOCIEDAD
